Информационная система
«Ёшкин Кот»

Скачать базу одним архивом
Скачать обновления
История создания базы
Карта сайта

Скачать ГОСТ Р ИСО 10303-55-2015 Системы автоматизации производства и их интеграция. Представление данных об изделии и обмен этими данными. Часть 55. Интегрированный обобщенный ресурс. Процедурное и гибридное представление

Дата актуализации: 01.06.2025

ГОСТ Р ИСО 10303-55-2015

Системы автоматизации производства и их интеграция. Представление данных об изделии и обмен этими данными. Часть 55. Интегрированный обобщенный ресурс. Процедурное и гибридное представление

Обозначение: ГОСТ Р ИСО 10303-55-2015
Статус:действующий
Название рус.:Системы автоматизации производства и их интеграция. Представление данных об изделии и обмен этими данными. Часть 55. Интегрированный обобщенный ресурс. Процедурное и гибридное представление
Дата актуализации текста:26.02.2016
Дата актуализации описания:01.07.2023
Дата издания:29.05.2020
Дата введения:01.10.2016
Аутентичен стандартам:ISO 10303-55:2005
Нормативные ссылки:ISO/IEC 8824-1;ISO 10303-1;ISO 10303-11;ISO 10303-41;ISO 10303-42;ISO 10303-43;ISO 10303-108
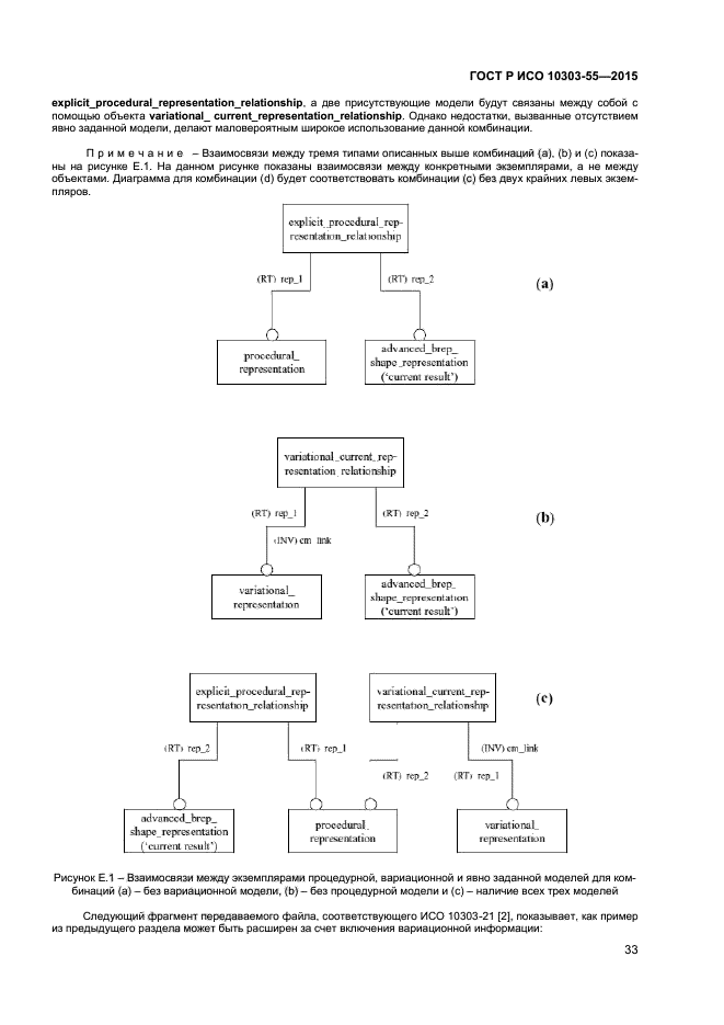
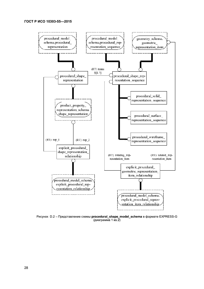
Область применения:последовательности конструкционных операций, используемых для их построения. Представление самих операций в настоящем стандарте не рассматривается; механизмы, представленные в настоящем стандарте, позволяют использовать для этой цели объектные типы данных, определенные в других стандартах комплекса 10303. Требования настоящего стандарта распространяются на:- спецификацию последовательностей конструкционных операций для генерации любого типа представления модели в явном виде; - иерархическое структурирование конструкционных последовательностей;- встраивание элементов, определенных в явном виде, в конструкционные последовательности для представления гибридных моделей;- использование определений объекта representation_item из других стандартов комплекса 10303 для представления конструкционных операций для экземпляров объектов representation_item;- определение двойственного представления с помощью связи процедурной модели с явно заданной моделью «текущего результата», которая исполняет роль репрезентативного - примера параметрического семейства моделей, определенных с помощью процедурной модели;- связь информации об основополагающих принципах конструкции с процедурной моделью;- идентификацию в процедурной модели определенных в явном виде элементов, которые выбираются с помощью интерактивного отбора из визуального отображения модели в передающей системе;- идентификацию в процедурной модели конструкционных операций, которые могут быть изъяты в целях упрощения модели;- конкретизацию вышеизложенных возможностей для процедурного представления моделей формы
Расположен в:Государственные стандарты Общероссийский классификатор стандартов Машиностроение Промышленные автоматизированные системы Измерение и контроль производственного процесса Классификатор государственных стандартов Измерительные приборы. Средства автоматизации и вычислительной техники Средства вычислительной техники и автоматизированные системы управления Автоматизированные системы управления
ГОСТ Р ИСО 10303-55-2015ГОСТ Р ИСО 10303-55-2015ГОСТ Р ИСО 10303-55-2015ГОСТ Р ИСО 10303-55-2015ГОСТ Р ИСО 10303-55-2015ГОСТ Р ИСО 10303-55-2015ГОСТ Р ИСО 10303-55-2015ГОСТ Р ИСО 10303-55-2015ГОСТ Р ИСО 10303-55-2015ГОСТ Р ИСО 10303-55-2015ГОСТ Р ИСО 10303-55-2015ГОСТ Р ИСО 10303-55-2015ГОСТ Р ИСО 10303-55-2015ГОСТ Р ИСО 10303-55-2015ГОСТ Р ИСО 10303-55-2015ГОСТ Р ИСО 10303-55-2015ГОСТ Р ИСО 10303-55-2015ГОСТ Р ИСО 10303-55-2015ГОСТ Р ИСО 10303-55-2015ГОСТ Р ИСО 10303-55-2015ГОСТ Р ИСО 10303-55-2015ГОСТ Р ИСО 10303-55-2015ГОСТ Р ИСО 10303-55-2015ГОСТ Р ИСО 10303-55-2015ГОСТ Р ИСО 10303-55-2015ГОСТ Р ИСО 10303-55-2015ГОСТ Р ИСО 10303-55-2015ГОСТ Р ИСО 10303-55-2015ГОСТ Р ИСО 10303-55-2015ГОСТ Р ИСО 10303-55-2015ГОСТ Р ИСО 10303-55-2015ГОСТ Р ИСО 10303-55-2015ГОСТ Р ИСО 10303-55-2015ГОСТ Р ИСО 10303-55-2015ГОСТ Р ИСО 10303-55-2015ГОСТ Р ИСО 10303-55-2015ГОСТ Р ИСО 10303-55-2015ГОСТ Р ИСО 10303-55-2015ГОСТ Р ИСО 10303-55-2015ГОСТ Р ИСО 10303-55-2015ГОСТ Р ИСО 10303-55-2015ГОСТ Р ИСО 10303-55-2015ГОСТ Р ИСО 10303-55-2015ГОСТ Р ИСО 10303-55-2015

© 2013 Ёшкин Кот :-) Карта сайта