| Обозначение: |  ГОСТ Р 22.9.28-2015 |
| Статус: | отменён |
| Название рус.: | Безопасность в чрезвычайных ситуациях. Инструмент аварийно-спасательный. Классификация |
| Дата актуализации текста: | 01.01.2021 |
| Дата актуализации описания: | 01.07.2023 |
| Дата издания: | 15.07.2019 |
| Дата введения: | 01.04.2016 |
| Дата окончания срока действия: | 01.02.2023 |
| Код ОКП: | 805200 |
| На территории РФ пользоваться: | ГОСТ 22.9.28-2022 |
| Нормативные ссылки: | ГОСТ Р 22.9.22 |
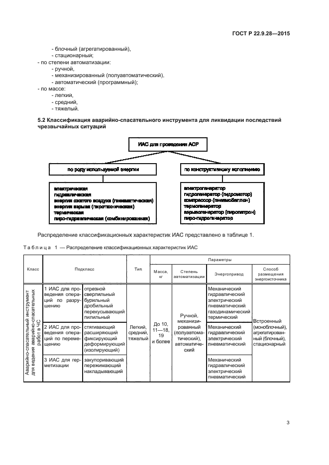
| Область применения: | Настоящий стандарт устанавливает классификацию аварийно-спасательного инструмента, предназначенного для проведения аварийно-спасательных работ при ликвидации последствий чрезвычайных ситуаций |
|
| Расположен в: |
|