| ||||||||||||||||||||||||||||||||||||||||||||
Скачать ГОСТ 9544-2015 Арматура трубопроводная. Нормы герметичности затворовДата актуализации: 01.06.2025
| ||||||||||||||||||||||||||||||||||||||||||||
| Обозначение: | ![]() ГОСТ 9544-2015 |
| Статус: | действующий |
| Название рус.: | Арматура трубопроводная. Нормы герметичности затворов |
| Дата актуализации текста: | 01.01.2023 |
| Дата актуализации описания: | 01.07.2023 |
| Дата регистрации: | 27.03.2015 |
| Дата издания: | 26.11.2015 |
| Дата введения: | 01.04.2016 |
| Код ОКП: | 370000 |
| Нормативные ссылки: | ГОСТ 33257-2015; ГОСТ 17433-80; ГОСТ 24856-2014; ГОСТ 12.2.085-2002; ГОСТ Р ИСО 8571-1-2005 |
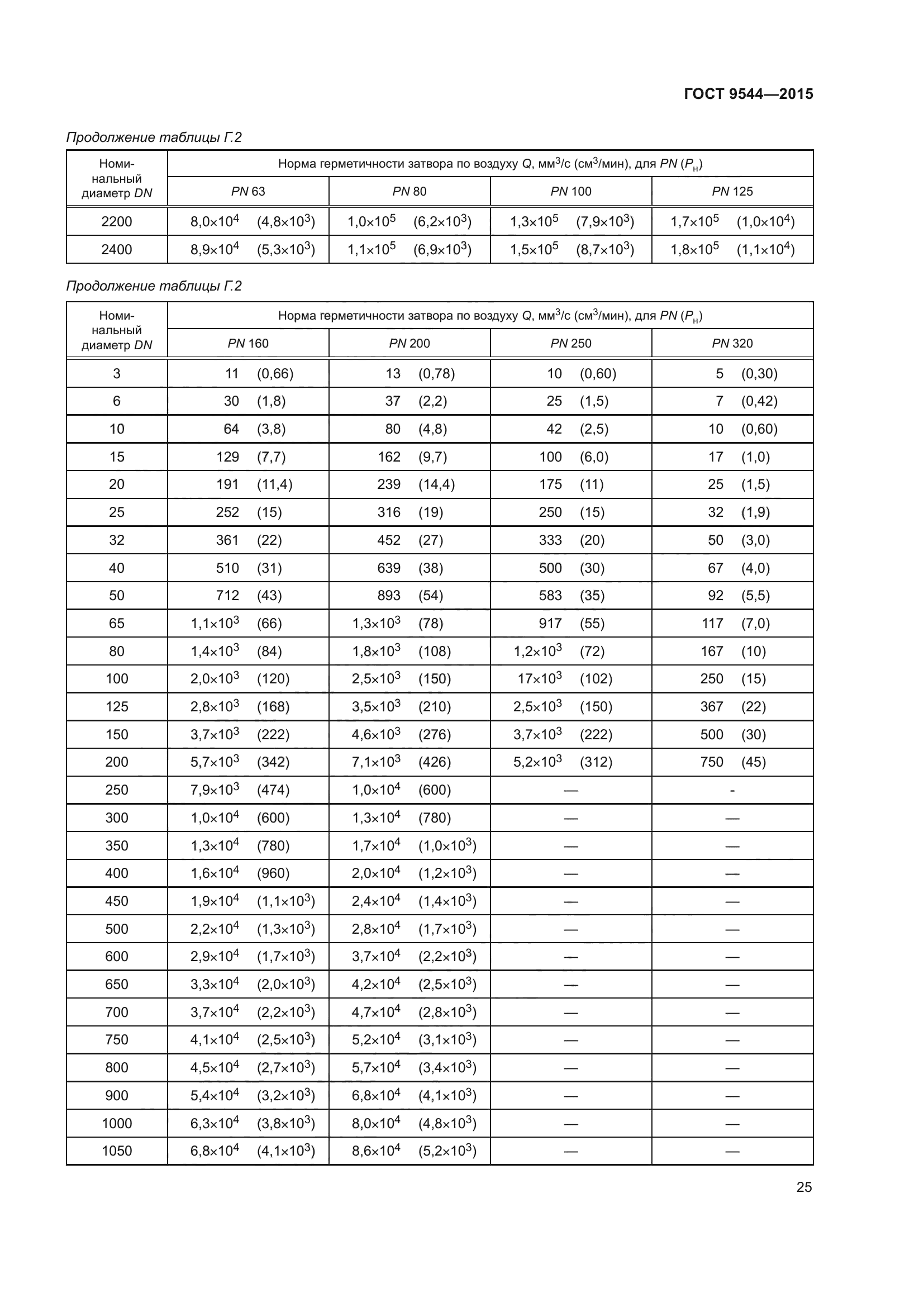
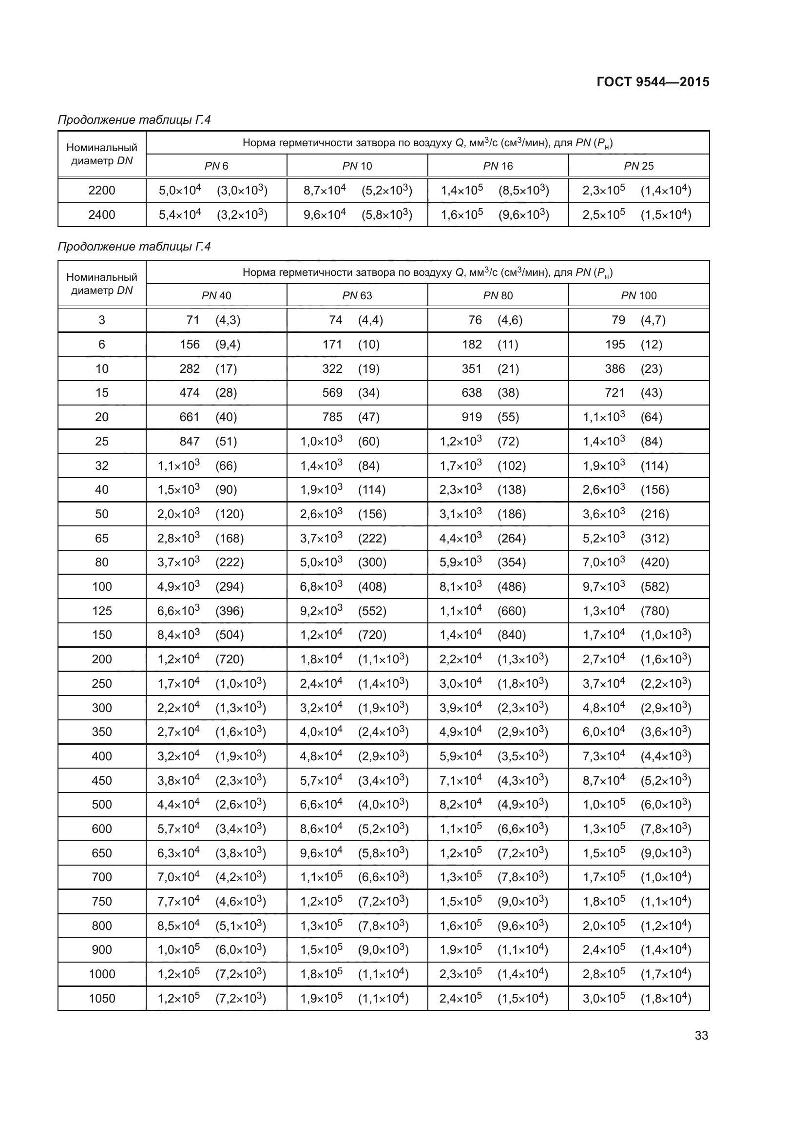
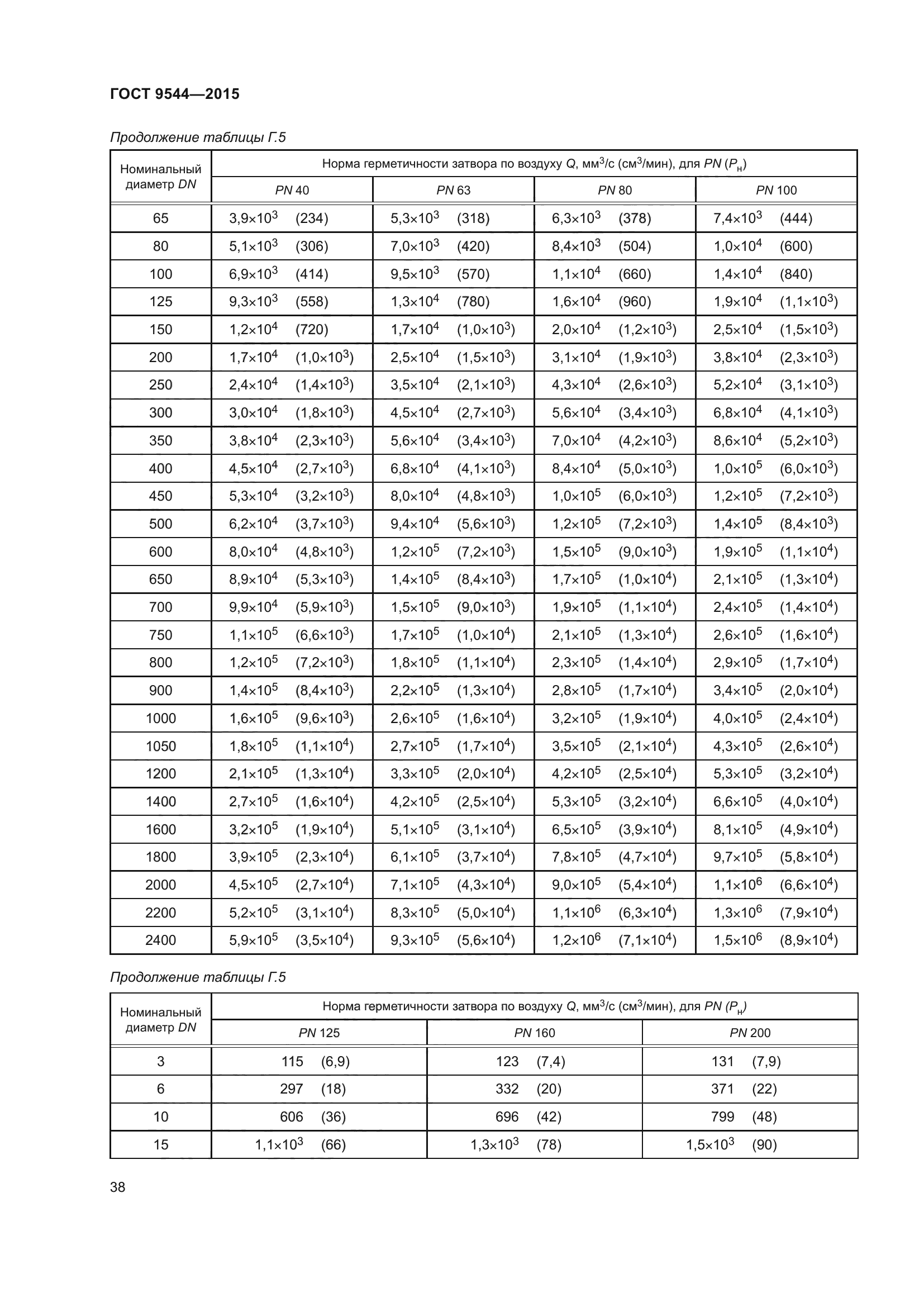
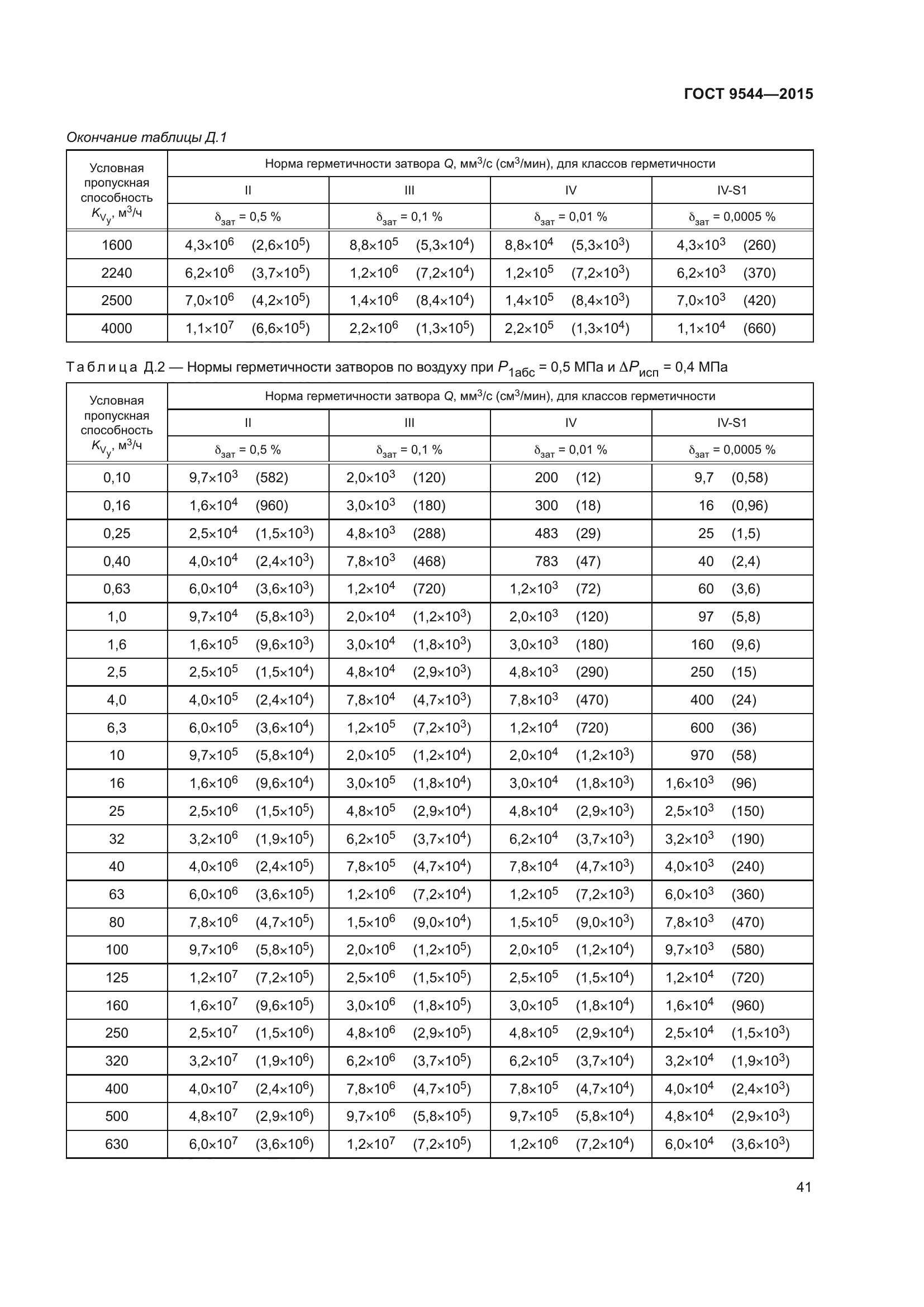
| Область применения: | Настоящий стандарт устанавливает нормы и классы герметичности затворов трубопроводной арматуры номинальных диаметров от DN 3 до DN 2400 на номинальные давления до PN 420 всех видов (запорная, обратная, предохранительная, регулирующая, распределительно-смесительная, фазоразделительная) и всех типов (задвижки, клапаны, краны и дисковые затворы), а также для комбинированной арматуры. Нормы герметичности, приведённые в стандарте, применяют при всех видах испытаний, а также при проверках герметичности затвора арматуры в процессе эксплуатации |
| Список изменений: | №0 от 22.03.2016 (рег. 22.03.2016) «Дата введения перенесена» |
| Приложение №1: | Поправка к ГОСТ 9544-2015 |
| Приложение №2: | Поправка к ГОСТ 9544-2015 |
| Расположен в: | |

























































| Обозначение: | Поправка к ГОСТ 9544-2015 |
| Дата введения: | 23.03.2016 |

| Обозначение: | Поправка к ГОСТ 9544-2015 |
| Дата введения: | 06.09.2022 |
