| ||||||||||||||||||||||||||||||
 Скачать ГОСТ 13047.4-2014 Никель. Кобальт. Методы определения кобальта в никелеДата актуализации: 01.06.2025
 | ||||||||||||||||||||||||||||||
| Обозначение: | ![]()   ГОСТ 13047.4-2014 | 
| Статус: | действующий | 
| Название рус.: | Никель. Кобальт. Методы определения кобальта в никеле | 
| Дата актуализации текста: | 26.02.2016 | 
| Дата актуализации описания: | 01.07.2023 | 
| Дата регистрации: | 20.10.2014 | 
| Дата издания: | 29.09.2015 | 
| Дата введения: | 01.01.2016 | 
| Взамен: |  ГОСТ 13047.4-2002 | 
| Нормативные ссылки: |  ГОСТ 61-75; ГОСТ 123-2008; ГОСТ 199-78; ГОСТ 27067-86; ГОСТ 3118-77; ГОСТ 4461-77; ГОСТ 5457-75; ГОСТ 9722-97; ГОСТ 11125-84; ГОСТ 13047.1-2014; ГОСТ 14261-77; ГОСТ 20015-88; ГОСТ 849-2008 | 
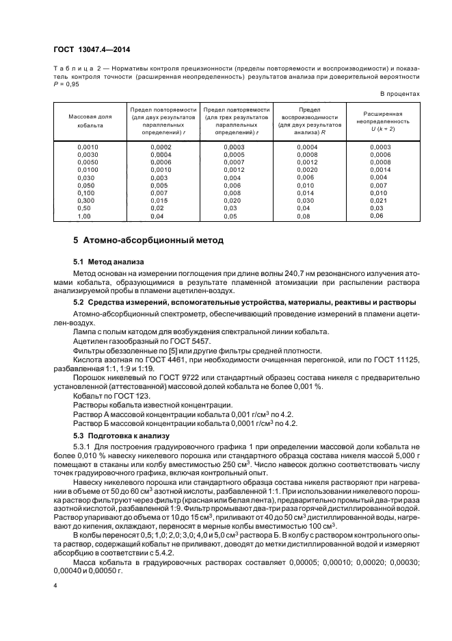
| Область применения: | Настоящий стандарт устанавливает спектрофотометрический и атомно-абсорбционный методы определения кобальта (при массовой доле кобальта от 0,0010 % до 1,0 %) в первичном никеле по ГОСТ 849 и никелевом порошке по ГОСТ 9722. В качестве арбитражного метода используется атомно-абсорбционный метод | 
| Расположен в: | |







