Информационная система
«Ёшкин Кот»

Скачать базу одним архивом
Скачать обновления
История создания базы
Карта сайта

Скачать ГОСТ Р ИСО 17584-2015 Свойства хладагентов

Дата актуализации: 01.06.2025

ГОСТ Р ИСО 17584-2015

Свойства хладагентов

Обозначение: ГОСТ Р ИСО 17584-2015
Статус:действующий
Название рус.:Свойства хладагентов
Дата актуализации текста:26.02.2016
Дата актуализации описания:01.01.2021
Дата издания:24.12.2015
Дата введения:01.01.2016
Аутентичен стандартам:ISO 17584:2005
Нормативные ссылки:ISO 817
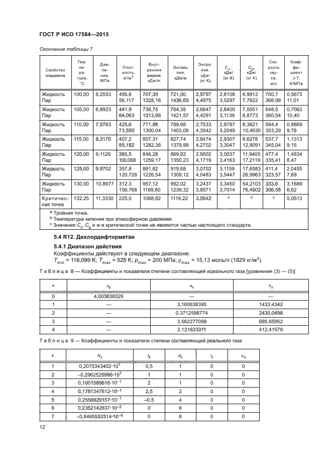
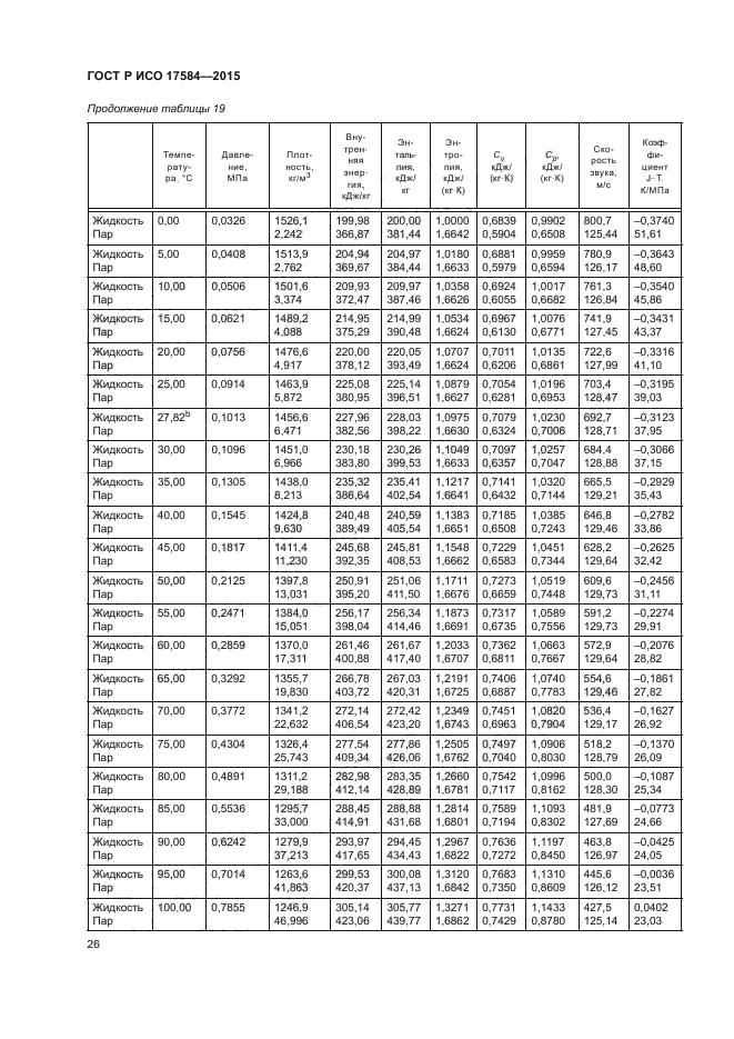
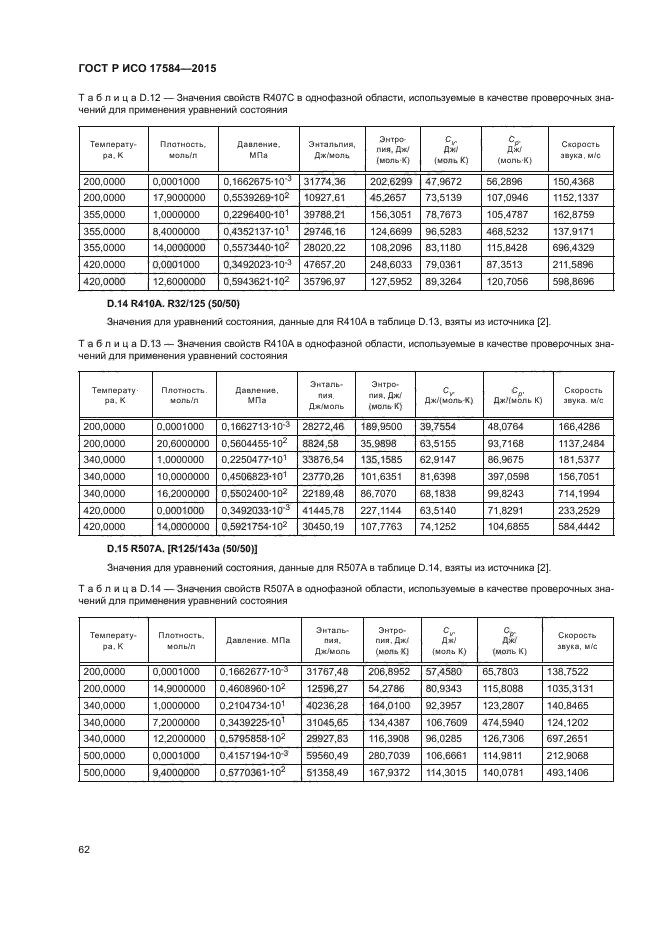
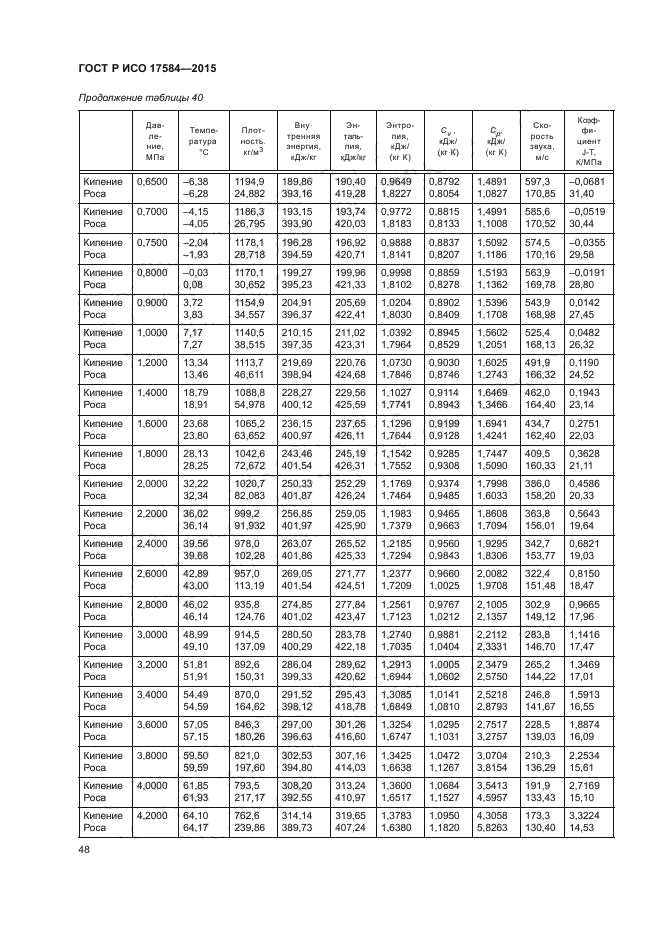
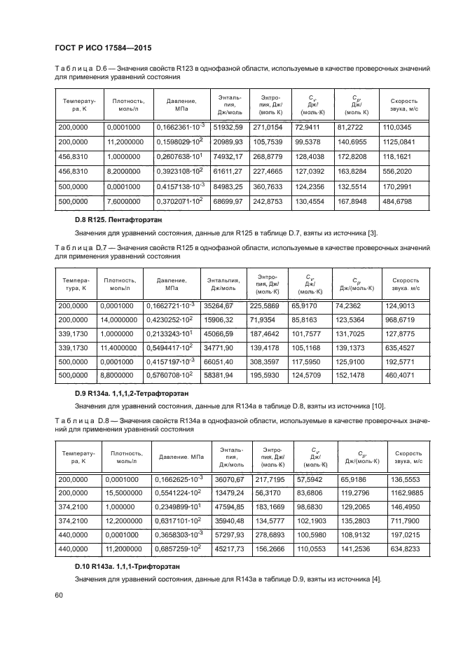
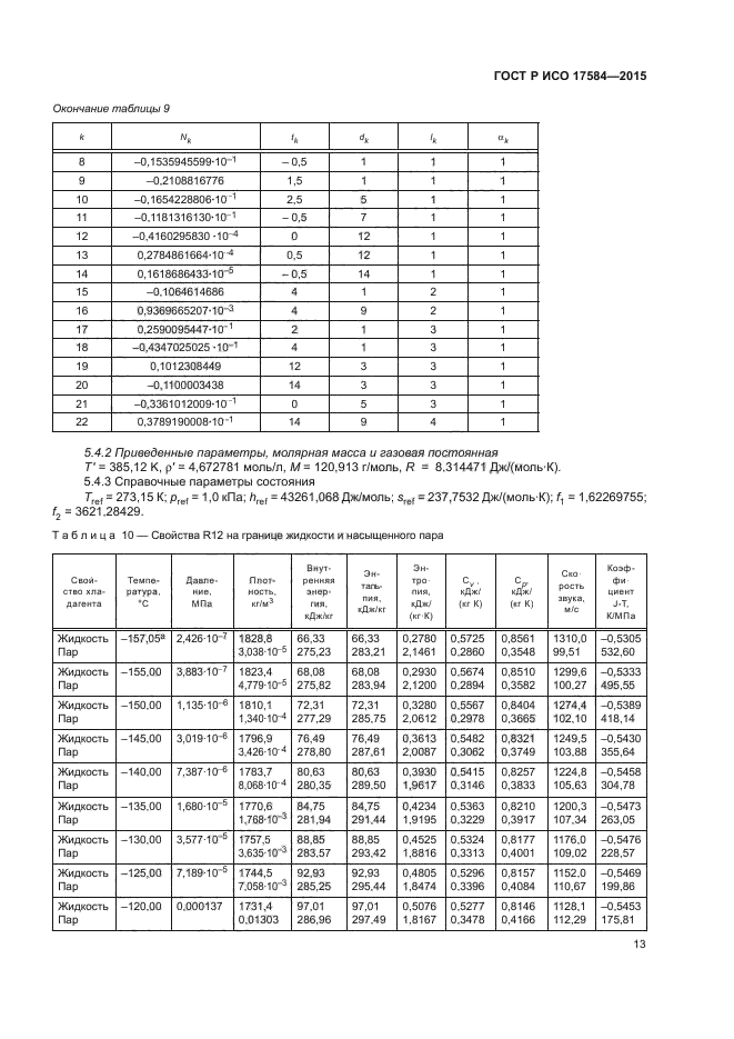
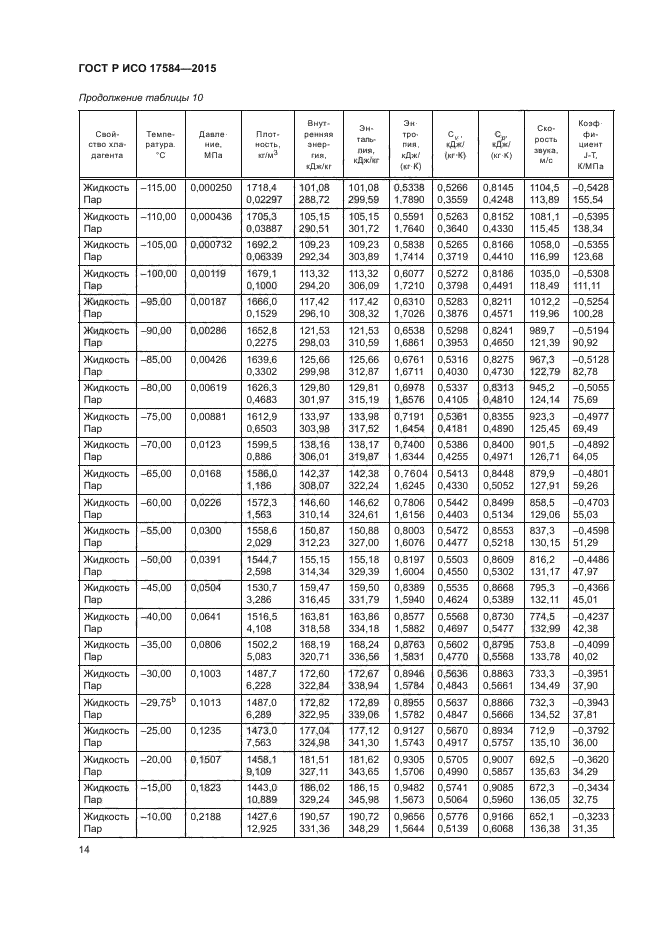
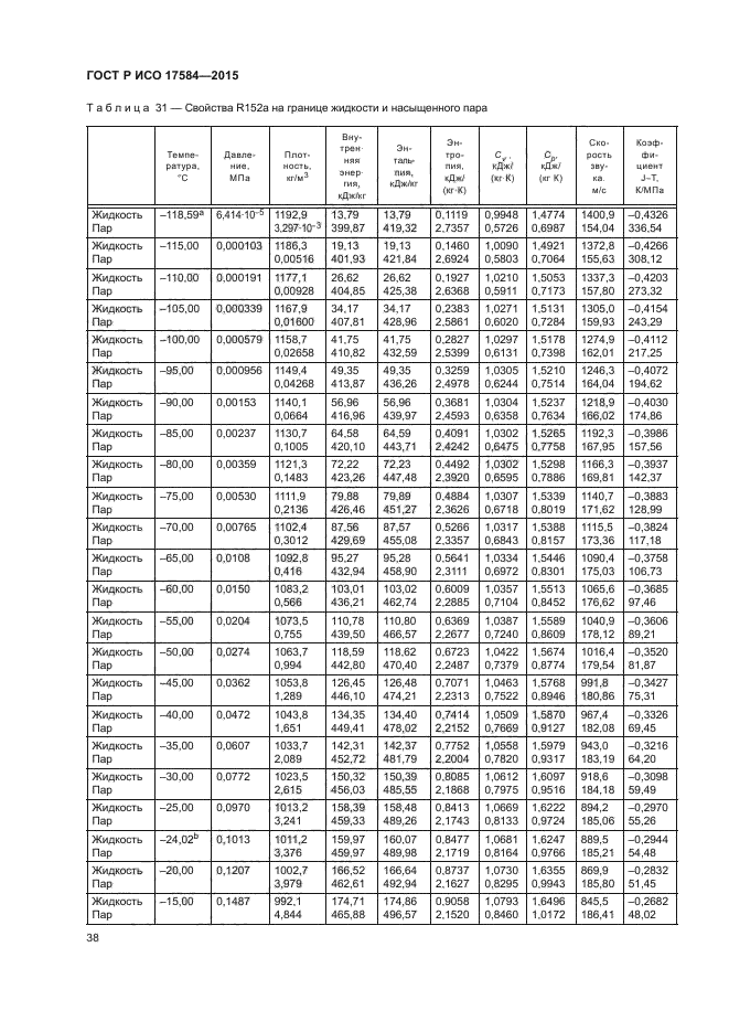
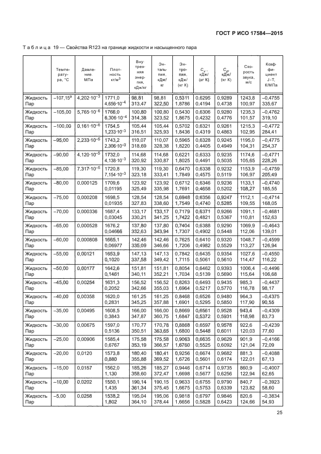
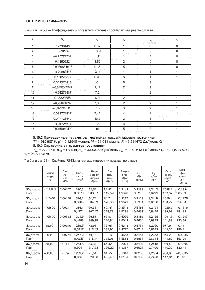
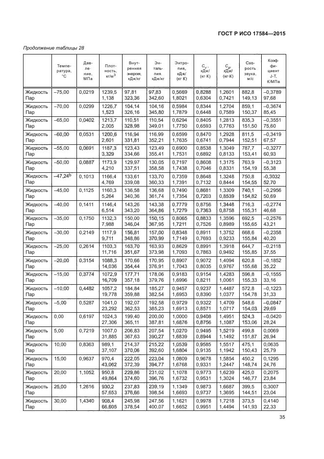
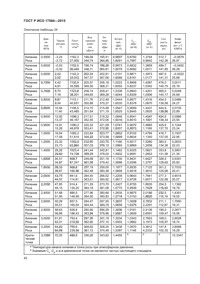
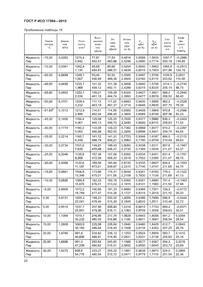
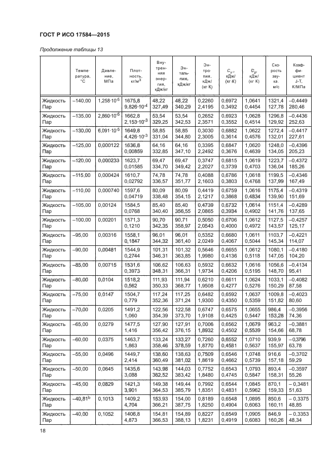
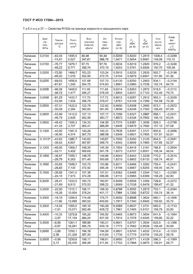
Область применения:Настоящий стандарт определяет теплофизические свойства нескольких широко используемых хладагентов и смесей хладагентов. Настоящий стандарт применим к хладагентам R12, R22, R32, R123, R125, R134a, R143a, R152a, R717 (аммиак) и R744 (диоксид углерода) и к смесям хладагентов R404A, R407С, R410A и R507A. Включены следующие свойства: плотность, давление, внутренняя энергия, энтальпия, энтропия, теплоемкость при постоянном давлении, теплоемкость при постоянном объеме, скорость звука и коэффициент Джоуля-Томсона, как в однофазном состоянии, так и на границе насыщения жидкости/пара. Числовое обозначение хладагентов - в соответствии с ИСО 817
Расположен в:Государственные стандарты Общероссийский классификатор стандартов Химическая промышленность Продукты химической промышленности Холодильные агенты и антифризы Классификатор государственных стандартов Химические продукты и резиноасбестовые изделия Общие правила и нормы по химической промышленности Термины и обозначения
ГОСТ Р ИСО 17584-2015ГОСТ Р ИСО 17584-2015ГОСТ Р ИСО 17584-2015ГОСТ Р ИСО 17584-2015ГОСТ Р ИСО 17584-2015ГОСТ Р ИСО 17584-2015ГОСТ Р ИСО 17584-2015ГОСТ Р ИСО 17584-2015ГОСТ Р ИСО 17584-2015ГОСТ Р ИСО 17584-2015ГОСТ Р ИСО 17584-2015ГОСТ Р ИСО 17584-2015ГОСТ Р ИСО 17584-2015ГОСТ Р ИСО 17584-2015ГОСТ Р ИСО 17584-2015ГОСТ Р ИСО 17584-2015ГОСТ Р ИСО 17584-2015ГОСТ Р ИСО 17584-2015ГОСТ Р ИСО 17584-2015ГОСТ Р ИСО 17584-2015ГОСТ Р ИСО 17584-2015ГОСТ Р ИСО 17584-2015ГОСТ Р ИСО 17584-2015ГОСТ Р ИСО 17584-2015ГОСТ Р ИСО 17584-2015ГОСТ Р ИСО 17584-2015ГОСТ Р ИСО 17584-2015ГОСТ Р ИСО 17584-2015ГОСТ Р ИСО 17584-2015ГОСТ Р ИСО 17584-2015ГОСТ Р ИСО 17584-2015ГОСТ Р ИСО 17584-2015ГОСТ Р ИСО 17584-2015ГОСТ Р ИСО 17584-2015ГОСТ Р ИСО 17584-2015ГОСТ Р ИСО 17584-2015ГОСТ Р ИСО 17584-2015ГОСТ Р ИСО 17584-2015ГОСТ Р ИСО 17584-2015ГОСТ Р ИСО 17584-2015ГОСТ Р ИСО 17584-2015ГОСТ Р ИСО 17584-2015ГОСТ Р ИСО 17584-2015ГОСТ Р ИСО 17584-2015ГОСТ Р ИСО 17584-2015ГОСТ Р ИСО 17584-2015ГОСТ Р ИСО 17584-2015ГОСТ Р ИСО 17584-2015ГОСТ Р ИСО 17584-2015ГОСТ Р ИСО 17584-2015ГОСТ Р ИСО 17584-2015ГОСТ Р ИСО 17584-2015ГОСТ Р ИСО 17584-2015ГОСТ Р ИСО 17584-2015ГОСТ Р ИСО 17584-2015ГОСТ Р ИСО 17584-2015ГОСТ Р ИСО 17584-2015ГОСТ Р ИСО 17584-2015ГОСТ Р ИСО 17584-2015ГОСТ Р ИСО 17584-2015ГОСТ Р ИСО 17584-2015ГОСТ Р ИСО 17584-2015ГОСТ Р ИСО 17584-2015ГОСТ Р ИСО 17584-2015ГОСТ Р ИСО 17584-2015ГОСТ Р ИСО 17584-2015ГОСТ Р ИСО 17584-2015ГОСТ Р ИСО 17584-2015ГОСТ Р ИСО 17584-2015ГОСТ Р ИСО 17584-2015ГОСТ Р ИСО 17584-2015ГОСТ Р ИСО 17584-2015ГОСТ Р ИСО 17584-2015

© 2013 Ёшкин Кот :-) Карта сайта