Информационная система
«Ёшкин Кот»

Скачать базу одним архивом
Скачать обновления
История создания базы
Карта сайта

Скачать ГОСТ Р 56428-2015 Измерение потребления энергии сетевое. Энергосберегающая система. Концептуальная модель

Дата актуализации: 01.06.2025

ГОСТ Р 56428-2015

Измерение потребления энергии сетевое. Энергосберегающая система. Концептуальная модель

Обозначение: ГОСТ Р 56428-2015
Статус:действующий
Название рус.:Измерение потребления энергии сетевое. Энергосберегающая система. Концептуальная модель
Дата актуализации текста:01.01.2021
Дата актуализации описания:01.01.2021
Дата издания:29.11.2018
Дата введения:01.06.2016
Код ОКП:401000
Аутентичен стандартам:IEC/TS 62654(2012)
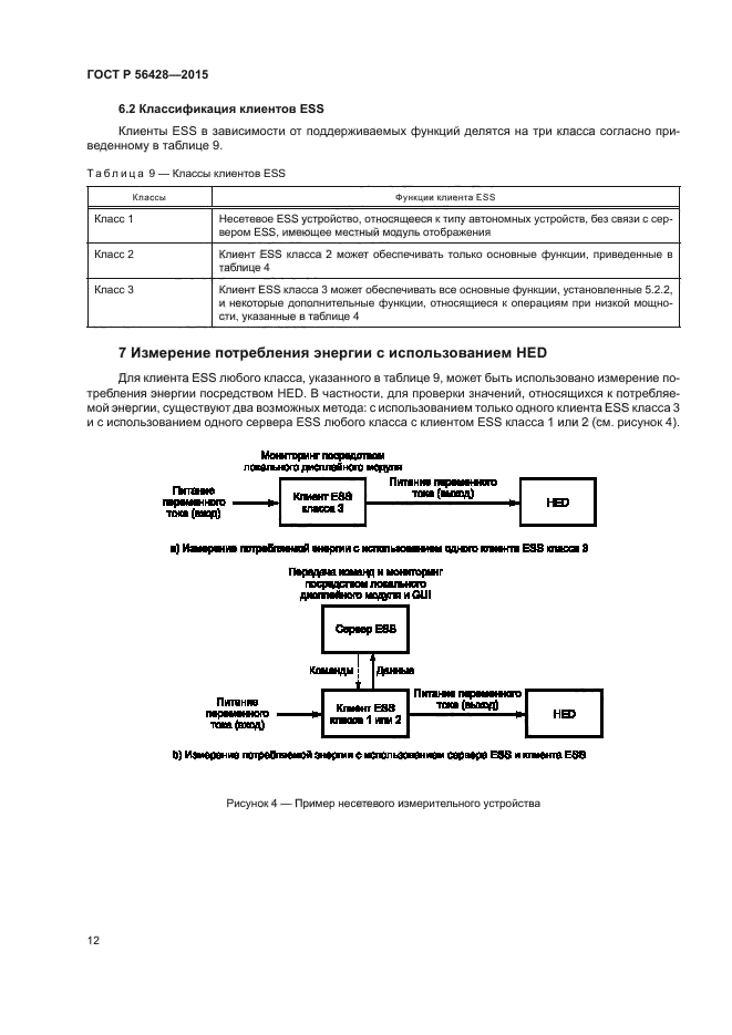
Область применения:Настоящий стандарт устанавливает архитектуру и функциональные требования к энергосберегающей системе (ESS), которая измеряет (учитывает) потребление энергии каждого бытового устройства, включая аудио/видео мультимедийное оборудование и системы, и показывает, как уменьшить его мощность в режиме ожидания.Требования настоящего стандарта, относящиеся к измерению потребляемой энергии, распространяются только на оборудование с питанием от сети переменного тока, предназначенное для эксплуатации в условиях закрытых помещений
Расположен в:Государственные стандарты Общероссийский классификатор стандартов Электротехника Сети электропередач и распределительные сети Аппаратура управления для электрических силовых систем Телекоммуникации.аудио-и видеотехника Телекоммуникационные системы Сети передачи данных Информационные технологии. Машины конторские Организация сети Классификатор государственных стандартов Электронная техника, радиоэлектроника и связь Общие правила и нормы по электронной технике, радиоэлектронике и связи Нормы расчета и проектирования Окп Вычислительная техника Сети, системы, комплексы и машины вычислительные
ГОСТ Р 56428-2015ГОСТ Р 56428-2015ГОСТ Р 56428-2015ГОСТ Р 56428-2015ГОСТ Р 56428-2015ГОСТ Р 56428-2015ГОСТ Р 56428-2015ГОСТ Р 56428-2015ГОСТ Р 56428-2015ГОСТ Р 56428-2015ГОСТ Р 56428-2015ГОСТ Р 56428-2015ГОСТ Р 56428-2015ГОСТ Р 56428-2015ГОСТ Р 56428-2015ГОСТ Р 56428-2015ГОСТ Р 56428-2015ГОСТ Р 56428-2015ГОСТ Р 56428-2015ГОСТ Р 56428-2015ГОСТ Р 56428-2015ГОСТ Р 56428-2015ГОСТ Р 56428-2015ГОСТ Р 56428-2015

© 2013 Ёшкин Кот :-) Карта сайта