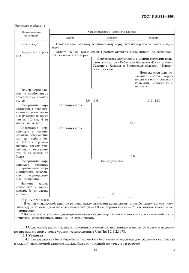
| ||||||||||||||||||||||||||||||||||||||||||
Скачать ГОСТ Р 51811-2001 Свекла столовая свежая, реализуемая в розничной торговой сети. Технические условияДата актуализации: 01.06.2025
| ||||||||||||||||||||||||||||||||||||||||||
| Обозначение: | ![]() ГОСТ Р 51811-2001 |
| Статус: | отменён |
| Название рус.: | Свекла столовая свежая, реализуемая в розничной торговой сети. Технические условия |
| Название англ.: | Fresh food red beet for retail. Specifications |
| Дата актуализации текста: | 06.04.2015 |
| Дата актуализации описания: | 01.07.2023 |
| Дата издания: | 13.07.2010 |
| Дата введения: | 01.01.2003 |
| Дата окончания срока действия: | 15.02.2015 |
| Код ОКП: | 973221 |
| На территории РФ пользоваться: | ГОСТ 32285-2013 |
| Нормативные ссылки: | ГОСТ 166-89; ГОСТ 427-75; ГОСТ 7194-81; ГОСТ 7502-98; ГОСТ 9142-90; ГОСТ 11354-93; ГОСТ 12302-83; ГОСТ 17812-72; ГОСТ 24831-81; ГОСТ 26927-86; ГОСТ 26930-86; ГОСТ 26931-86; ГОСТ 26932-86; ГОСТ 26933-86; ГОСТ 26934-86; ГОСТ 27519-87; ГОСТ 27735-94; ГОСТ 29329-92; ГОСТ 30090-93; ГОСТ 30178-96; ГОСТ 30349-96; ГОСТ 30538-97; ГОСТ 30710-2001; ГОСТ Р 8.579-2002; ГОСТ Р 51074-2003; ГОСТ Р 51289-99; ГОСТ Р 51301-99; ГОСТ Р 51720-2001; ГОСТ Р 51760-2001; ГОСТ Р 51766-2001;Directive 76/211/EEC;СанПиН 2.3.2.1078-2001 |
| Область применения: | Настоящий стандарт распространяется на свежую столовую свеклу (Beta vulgaris L.), предназначенную для поставки предприятиям розничной торговой сети и общественного питания и реализации в розничной торговой сети |
| Список изменений: | №0 от 22.02.2002 (рег. 22.02.2002) «Дата введения перенесена» №0 от 15.02.2015 (рег. 17.12.2013) «Текстовое изменение; Изменено заглавие» |
| Приложение №1: | Поправка к ГОСТ Р 51811-2001 |
| Расположен в: | |










| Обозначение: | Поправка к ГОСТ Р 51811-2001 |
| Дата введения: | 22.02.2002 |
