| Обозначение: |  ГОСТ Р ИСО 14031-2001 |
| Статус: | заменён |
| Название рус.: | Управление окружающей средой. Оценивание экологической эффективности. Общие требования |
| Название англ.: | Environmental management. Environmental performance evaluation. Guidelines |
| Дата актуализации текста: | 06.04.2015 |
| Дата актуализации описания: | 01.07.2023 |
| Дата издания: | 01.04.2004 |
| Дата введения: | 01.10.2001 |
| Дата окончания срока действия: | 01.06.2017 |
| Заменяющий: | ГОСТ Р ИСО 14031-2016 |
| Аутентичен стандартам: | ISO 14031:1999 |
| Нормативные ссылки: | ГОСТ Р ИСО 14001-98; ГОСТ Р ИСО 14004-98; ГОСТ Р ИСО 14010-98; ГОСТ Р ИСО 14011-98; ГОСТ Р ИСО 14040-99; ГОСТ Р ИСО 14041-2000; ГОСТ Р ИСО 14050-98 |
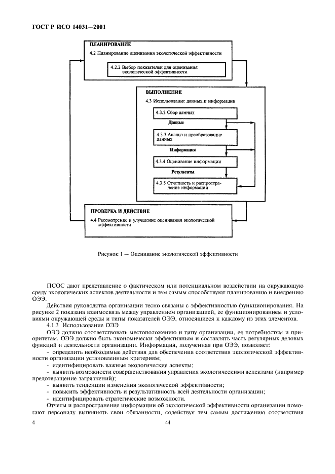
| Область применения: | Настоящий стандарт представляет собой руководство по планированию и использованию оценивания экологической эффективности организации. Стандарт применим для всех организаций независимо от типа, размера, местоположения и сложности. Настоящий стандарт не может быть использован как стандарт технических условий для целей сертификации или регистрации, или для разработки каких-либо иных требований соответствия систем управления окружающей средой |
|
| Расположен в: |
|