| Обозначение: |  ГОСТ Р 34.10-2001 |
| Статус: | заменён |
| Название рус.: | Информационная технология. Криптографическая защита информации. Процессы формирования и проверки электронной цифровой подписи |
| Название англ.: | Information technology. Cryptographic data security. Formation and verification processes of [electronic] digital signature |
| Дата актуализации текста: | 06.04.2015 |
| Дата актуализации описания: | 01.07.2023 |
| Дата издания: | 29.10.2001 |
| Дата введения: | 01.07.2002 |
| Дата окончания срока действия: | 01.01.2013 |
| Код ОКП: | 500000 |
| Взамен: | ГОСТ Р 34.10-94 |
| Заменяющий: | ГОСТ Р 34.10-2012 |
| Нормативные ссылки: | ISO 2382-2:1976;ISO/IEC 9796:1991;ISO/IEC 14888-1:1998;ISO/IEC 14888-2:1999;ISO/IEC 14888-3:1999;ISO/IEC 10118-1:1994;ISO/IEC 10118-2:1994;ISO/IEC 10118-3:1998;ISO/IEC 10118-4:1998; ГОСТ Р 34.11-94 |
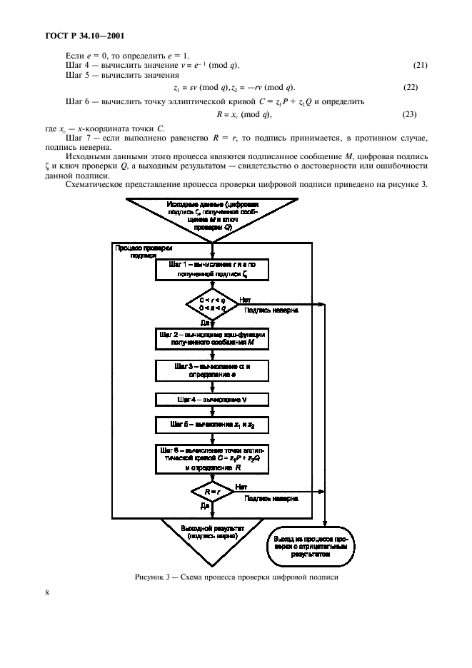
| Область применения: | Настоящий стандарт определяет схему электронной цифровой подписи, процессы формирования и проверки цифровой подписи под заданным сообщением (документом), передаваемым по незащищенным телекоммуникационным каналам общего пользования в системах обработки информации различного назначения |
|
| Расположен в: |
|