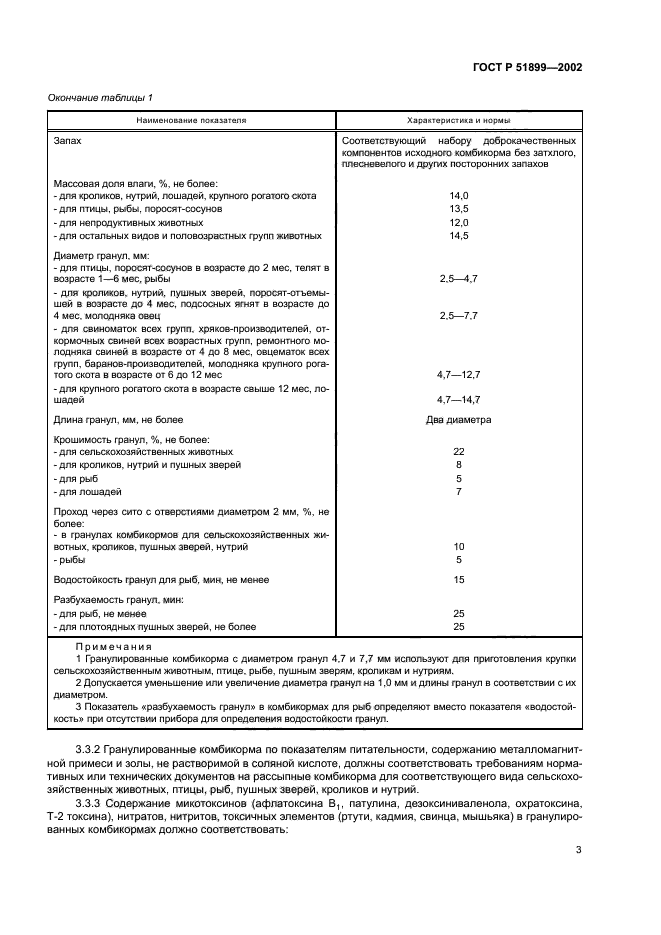
| ||||||||||||||||||||||||||||||||||||||
Скачать ГОСТ Р 51899-2002 Комбикорма гранулированные. Общие технические условияДата актуализации: 01.06.2025
| ||||||||||||||||||||||||||||||||||||||
| Обозначение: | ![]() ГОСТ Р 51899-2002 |
| Статус: | действующий |
| Название рус.: | Комбикорма гранулированные. Общие технические условия |
| Название англ.: | Granulated mixed feeds. General specifications |
| Дата актуализации текста: | 01.06.2021 |
| Дата актуализации описания: | 01.07.2023 |
| Дата издания: | 24.11.2020 |
| Дата введения: | 01.06.2003 |
| Код ОКП: | 929604;929606 |
| Нормативные ссылки: | ГОСТ 1770; ГОСТ 13496.0; ГОСТ 13496.3; ГОСТ 13496.7; ГОСТ 13496.8; ГОСТ 13496.13; ГОСТ 13496.19; ГОСТ 13496.20; ГОСТ 24104; ГОСТ 26927; ГОСТ 26929; ГОСТ 26930; ГОСТ 26932; ГОСТ 26933; ГОСТ 28001; ГОСТ 28396; ГОСТ 28497; ГОСТ 28758; ГОСТ 30692; ГОСТ Р 51116; ГОСТ Р 51166; ГОСТ Р 51232; ГОСТ Р 51550; ГОСТ Р 51849; ГОСТ Р 51850;СанПиН 2.1.4.559 |
| Область применения: | Настоящий стандарт распространяется на гранулированные комбикорма для сельскохозяйственных животных, птицы, рыб, кроликов, нутрий, пушных зверей, а также для непродуктивных животных (кошек, собак и др.) |
| Список изменений: | №0 от 30.04.2003 (рег. 30.04.2003) «Дата введения перенесена» |
| Приложение №1: | Поправка к ГОСТ Р 51899-2002 |
| Расположен в: | |











| Обозначение: | Поправка к ГОСТ Р 51899-2002 |
| Дата введения: | 01.05.2003 |
