| Обозначение: |  ГОСТ Р ИСО 10303-49-2003 |
| Статус: | действующий |
| Название рус.: | Системы автоматизации производства и их интеграция. Представление данных об изделии и обмен этими данными. Часть 49. Интегрированные обобщенные ресурсы. Структура и свойства процесса |
| Название англ.: | Industrial automation systems and integration. Product data representation and exchange. Part 49. Integrated generic resource. Process structure and properties |
| Дата актуализации текста: | 06.04.2015 |
| Дата актуализации описания: | 01.07.2023 |
| Дата издания: | 11.12.2020 |
| Дата введения: | 01.01.2004 |
| Аутентичен стандартам: | ISO 10303-49:1998 |
| Нормативные ссылки: | ГОСТ Р ИСО/МЭК 8824-1; ГОСТ Р ИСО 10303-1; ГОСТ Р ИСО 10303-11; ГОСТ Р ИСО 10303-41; ГОСТ Р ИСО 10303-43; ГОСТ Р ИСО 10303-45 |
| Область применения: | Настоящий стандарт устанавливает конструкции ресурсов для конкретных или потенциальных действий (работ) по выполнению процесса. Конструкции интегрированных ресурсов в настоящем стандарте устанавливают структуру для определения: отношений между процессами, применимости процесса, свойств процесса, ресурсов, необходимых для процесса, свойств ресурсов, представления процесса, представления ресурсов и отношений процесса с изделием. Настоящий стандарт определяет: - спецификацию процесса (требования к нему); - спецификацию отношений между процессами; - требования к применимости процесса; - спецификацию отношений между процессом и изделием; - требования к этапам (стадиям) плана процесса по созданию изделия. Настоящий стандарт не устанавливает: - определения конкретных процессов или планов конкретных процессов; - требования к непрерывным процессам; - календарное планирование процесса; - общее планирование процесса; - механизмы равноправной передачи информации, включая синхронизацию; - контролирование процесса |
|
| Расположен в: |
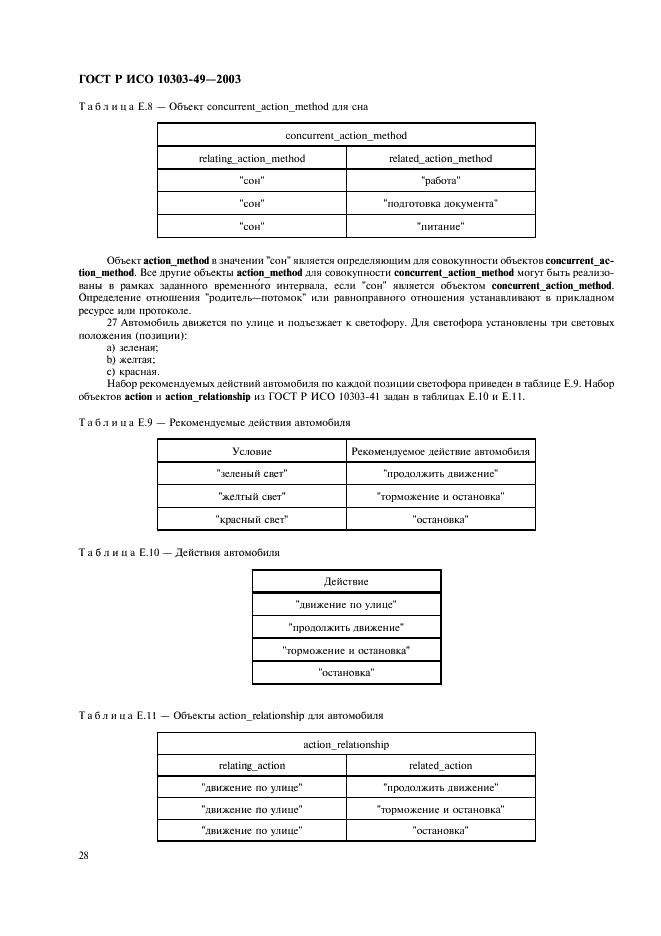
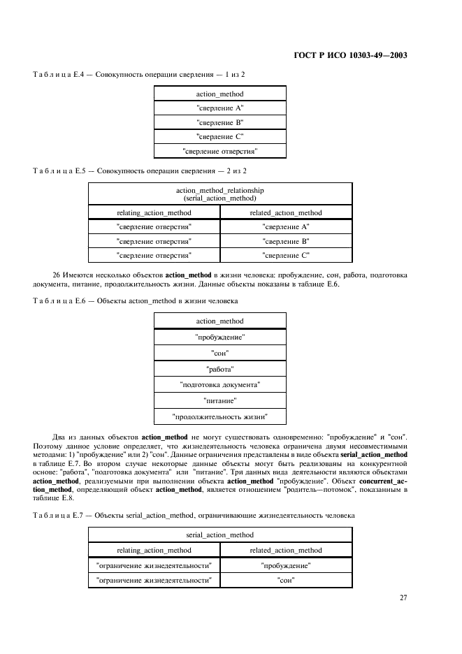
|