Информационная система
«Ёшкин Кот»

Скачать базу одним архивом
Скачать обновления
История создания базы
Карта сайта

Скачать ГОСТ Р МЭК 60688-2015 Преобразователи электрические измерительные для преобразования электрических параметров переменного и постоянного тока в аналоговые и цифровые сигналы

Дата актуализации: 01.06.2025

ГОСТ Р МЭК 60688-2015

Преобразователи электрические измерительные для преобразования электрических параметров переменного и постоянного тока в аналоговые и цифровые сигналы

Обозначение: ГОСТ Р МЭК 60688-2015
Статус:действующий
Название рус.:Преобразователи электрические измерительные для преобразования электрических параметров переменного и постоянного тока в аналоговые и цифровые сигналы
Дата актуализации текста:15.10.2015
Дата актуализации описания:01.07.2023
Дата издания:09.12.2019
Дата введения:01.01.2016
Код ОКП:422000;668000
Аутентичен стандартам:IEC 60688(2012)
Нормативные ссылки:IEC 60051-1(2016);IEC 60068-2-6(2007);IEC 60068-2-27(2008);IEC 60255-151(2009);IEC 61010;IEC 61010-1(2010);IEC 61010-2-030(2017);IEC 61326;IEC 61326-1(2012);IEC 61557-12(2016);IEC 60417
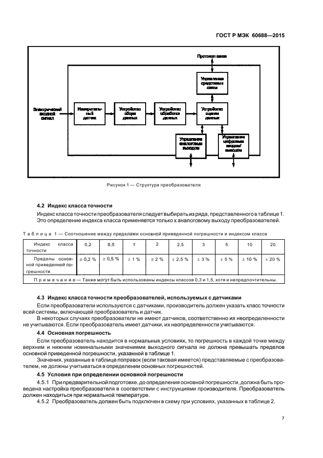
Область применения:Настоящий стандарт распространяется на преобразователи с электрическими входами и выходами для проведения измерений электрических величин переменного и постоянного тока. Выходной сигнал может быть в форме аналогового постоянного тока, аналогового постоянного напряжения или в цифровой форме. При этом, та часть преобразователя, которая предназначена для коммуникационных целей, должна быть совместима с внешней системой. Настоящий стандарт распространяется на преобразователи, используемые для преобразования электрических параметров переменного тока, таких как: - ток; - напряжение; - активная мощность; - реактивная мощность; - коэффициент мощности; - фазовый угол; - частота; - гармоники и полное гармоническое искажение; - полная мощность в выходной сигнал. Настоящий стандарт не распространяется на: - измерительные трансформаторы, которые соответствуют серии публикаций МЭК 60044; - передатчикам, предназначенным для использования в промышленности, которые соответствуют серии публикаций МЭК 60770; - работу измерительных и контрольно-измерительных устройств, которые соответствуют серии публикаций МЭК 61557-12
Расположен в:Государственные стандарты Общероссийский классификатор стандартов Метрология и измерения. Физические явления Электричество. Магнетизм. Электрические и магнитные измерения Измерения электрических и магнитных величин Классификатор государственных стандартов Измерительные приборы. Средства автоматизации и вычислительной техники Приборы для электрических и магнитных измерений Классификация, номенклатура и общие нормы Окп Приборы и средства автоматизации общепромышленного назначения Приборы электроизмерительные Средства проводной связи и аппаратура радиосвязи оконечная и промежуточная Приборы радиоизмерительные
ГОСТ Р МЭК 60688-2015ГОСТ Р МЭК 60688-2015ГОСТ Р МЭК 60688-2015ГОСТ Р МЭК 60688-2015ГОСТ Р МЭК 60688-2015ГОСТ Р МЭК 60688-2015ГОСТ Р МЭК 60688-2015ГОСТ Р МЭК 60688-2015ГОСТ Р МЭК 60688-2015ГОСТ Р МЭК 60688-2015ГОСТ Р МЭК 60688-2015ГОСТ Р МЭК 60688-2015ГОСТ Р МЭК 60688-2015ГОСТ Р МЭК 60688-2015ГОСТ Р МЭК 60688-2015ГОСТ Р МЭК 60688-2015ГОСТ Р МЭК 60688-2015ГОСТ Р МЭК 60688-2015ГОСТ Р МЭК 60688-2015ГОСТ Р МЭК 60688-2015ГОСТ Р МЭК 60688-2015ГОСТ Р МЭК 60688-2015ГОСТ Р МЭК 60688-2015ГОСТ Р МЭК 60688-2015ГОСТ Р МЭК 60688-2015ГОСТ Р МЭК 60688-2015ГОСТ Р МЭК 60688-2015ГОСТ Р МЭК 60688-2015ГОСТ Р МЭК 60688-2015ГОСТ Р МЭК 60688-2015ГОСТ Р МЭК 60688-2015ГОСТ Р МЭК 60688-2015ГОСТ Р МЭК 60688-2015ГОСТ Р МЭК 60688-2015

© 2013 Ёшкин Кот :-) Карта сайта