| Обозначение: |  ГОСТ Р ИСО 15745-1-2014 |
| Статус: | действующий |
| Название рус.: | Системы промышленной автоматизации и интеграция. Прикладная интеграционная среда открытых систем. Часть 1. Общее эталонное описание |
| Название англ.: | Industrial automation systems and integration. Open systems application integration framework. Part 1. Generic reference description |
| Дата актуализации текста: | 01.08.2015 |
| Дата актуализации описания: | 01.07.2023 |
| Дата издания: | 20.05.2020 |
| Дата введения: | 01.01.2016 |
| Взамен: | ГОСТ Р ИСО 15745-1-2010 |
| Аутентичен стандартам: | ISO 15745-1:2003 |
| Нормативные ссылки: | ISO/IEC 7498-1:1994;ISO/IEC 7498-4:1989;IEC 61069-1(1991);REC-xml-20001006;REC-xmlschema-1-20010502;REC-xmlschema-2-20010502;UML V1.4;REC-xmldsig-core-20020212 |
| Область применения: | Настоящий стандарт распространяется на прикладную интеграционную среду - набор элементов и правил описания интеграционных моделей и профилей интероперабельности прикладных систем. Стандарт устанавливает общие элементы и правила описания интеграционных моделей и профилей интероперабельности прикладных систем вместе с профилями их компонентов, включающими профили процессов, обмена информацией и ресурсов. Настоящий стандарт распространяется на системы промышленной автоматизации, процесс сборки электронной аппаратуры, изготовление полупроводников и транспортирование материалов. Его следует использовать также в случае других работ по автоматизации и управления, таких как автоматизация коммунальных предприятий, сельского хозяйства, внедорожных транспортных средств, медицинских учреждений и лабораторий, а также системы общественного транспорта |
|
| Расположен в: |
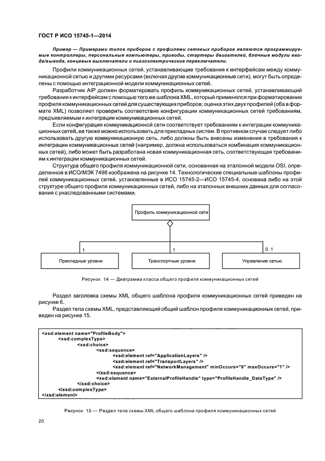
|