| Обозначение: |  ГОСТ EN 12916-2012 |
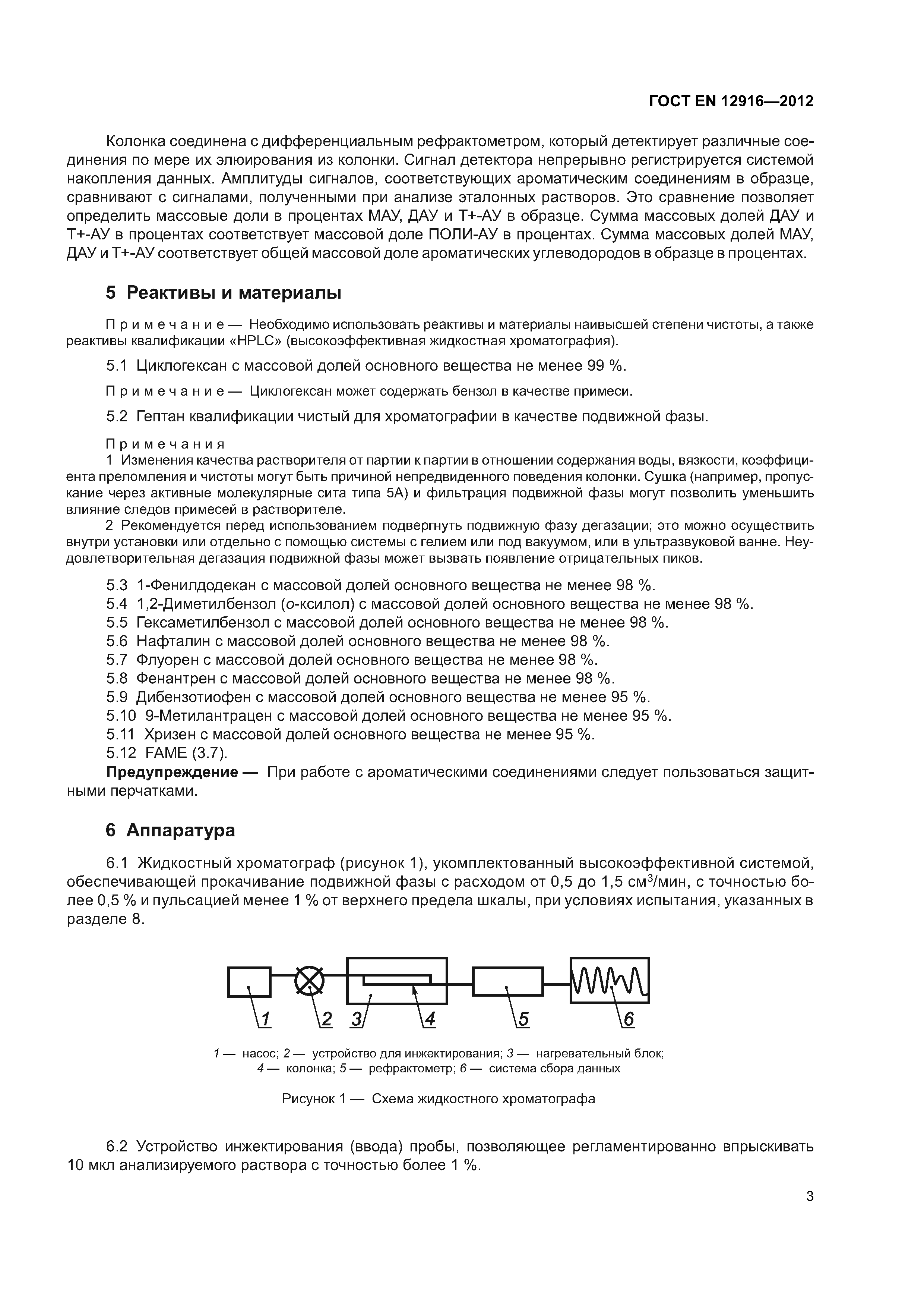
| Статус: | действующий |
| Название рус.: | Нефтепродукты. Определение типов ароматических углеводородов в средних дистиллятах. Метод высокоэффективной жидкостной хроматографии с детектированием по коэффициенту рефракции |
| Дата актуализации текста: | 06.04.2015 |
| Дата актуализации описания: | 01.07.2023 |
| Дата регистрации: | 24.05.2012 |
| Дата издания: | 25.10.2020 |
| Дата введения: | 01.07.2014 |
| Аутентичен стандартам: | EN 12916:2006 |
| Нормативные ссылки: | EN ISO 1042;EN ISO 3170;EN ISO 3171;EN ISO 4259(2006-08) |
| Область применения: | Настоящий стандарт распространяется на дизельные топлива, которые могут содержать не более 5 % об. сложных метиловых эфиров жирных кислот (FAME) и нефтяные дистилляты диапазоном кипения от 150 °С до 400 °С и устанавливает метод определения массовой доли моноароматических, диароматических и три+-ароматических углеводородов высокоэффективной жидкостной хроматографией с детектированием по коэффициенту рефракции |
|
| Расположен в: |
|