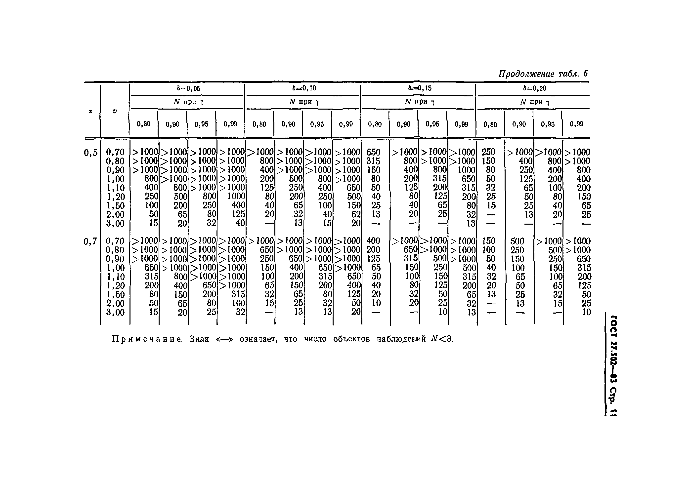
Скачать ГОСТ 27.502-83 Надежность в технике. Система сбора и обработки информации. Планирование наблюденийДата актуализации: 01.06.2025   ГОСТ 27.502-83
Надежность в технике. Система сбора и обработки информации. Планирование наблюдений
| Обозначение: |    ГОСТ 27.502-83 |  
| Статус: | не действует в РФ |  
| Название рус.: | Надежность в технике. Система сбора и обработки информации. Планирование наблюдений |  | Дата актуализации текста: | 06.04.2015 |  | Дата актуализации описания: | 01.06.2019 |   |  
| Расположен в: | 
  |  
                           
 |