| Обозначение: |  ГОСТ Р 56262-2014 |
| Статус: | действующий |
| Название рус.: | Надлежащая практика регулирования. Руководство по оценке эквивалентности требований |
| Название англ.: | Good regulatory practice. Requirements equivalence assessment guide |
| Дата актуализации текста: | 01.01.2021 |
| Дата актуализации описания: | 01.07.2023 |
| Дата издания: | 03.04.2020 |
| Дата введения: | 01.01.2016 |
| Нормативные ссылки: | ГОСТ Р ИСО 14050; ГОСТ Р 54147;ГОСТ ISO 9000 |
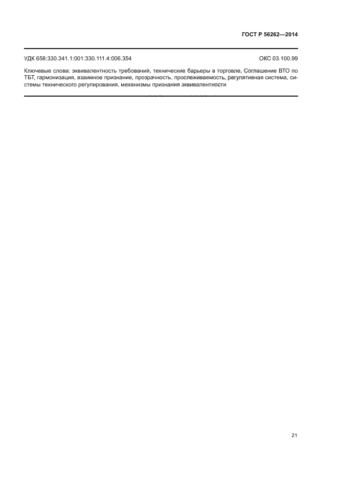
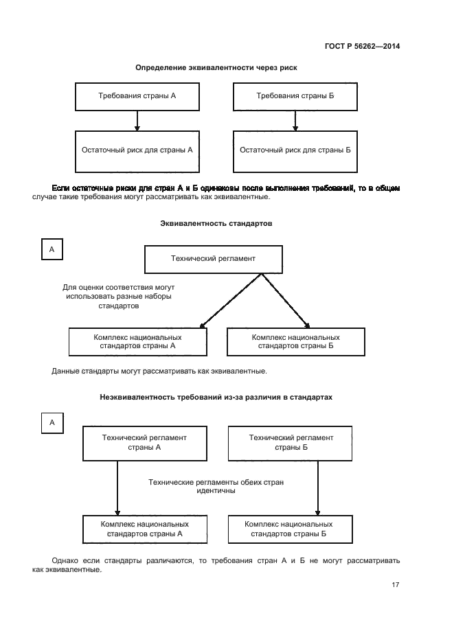
| Область применения: | Настоящий стандарт представляет руководство по оценке эквивалентности требований и является основополагающим стандартом комплекса стандартов на форматы описания и нормирования требований. Настоящий стандарт создается для нормативно-методического обеспечения разработки технических регламентов и стандартов в различных областях промышленности и экономики, а также для информационного обеспечения и более широкого применения менеджмента знаний и проектного менеджмента, включая процедуры надлежащей (добросовестной) практики, в том числе в государственном секторе |
|
| Расположен в: |
|