| Обозначение: |  ГОСТ Р 56269-2014 |
| Статус: | действующий |
| Название рус.: | Экологический менеджмент. Оценка жизненного цикла. Примеры применения ИСО 14044 к ситуациям воздействия |
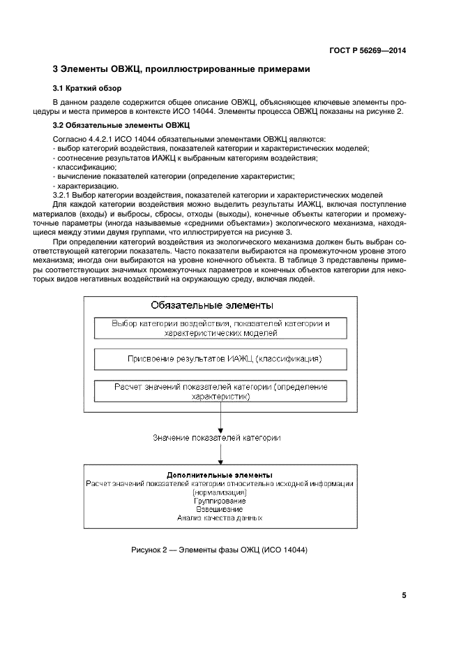
| Название англ.: | Environmental management. Life cycle assessment. Illustrative examples on how to apply ISO 14044 to impact assessment situations |
| Дата актуализации текста: | 06.04.2015 |
| Дата актуализации описания: | 01.01.2021 |
| Дата издания: | 03.03.2015 |
| Дата введения: | 01.01.2016 |
| Аутентичен стандартам: | ISO/TR 14047:2012 |
| Область применения: | Настоящий стандарт устанавливает примеры, иллюстрирующие существующую методику проведения оценки негативных воздействий на окружающую среду на стадиях жизненного цикла продукции согласно ИСО 14044:2006. Эти примеры являются небольшой частью возможных способов удовлетворения требований ИСО 14044 и предлагают «способ» или «способы», а не «уникальный способ» применения ИСО 14044. Примеры отражают ключевые элементы фазы оценки воздействий при оценке жизненного цикла продукции (ОВЖЦ). Примеры, представленные в настоящем стандарте, не являются исключительными, существуют и другие примеры решения методологических проблем |
|
| Расположен в: |
|