| Обозначение: |  ГОСТ Р ИСО/ТС 10303-1634-2014 |
| Статус: | действующий |
| Название рус.: | Системы автоматизации производства и их интеграция. Представление данных об изделии и обмен этими данными. Часть 1634. Прикладной модуль. Требования к размещению компонентов электронного узла |
| Название англ.: | Industrial automation systems and integration. Product data representation and exchange. Part 1634. Application module. Assembly component placement requirements |
| Дата актуализации текста: | 06.04.2015 |
| Дата актуализации описания: | 01.07.2023 |
| Дата издания: | 25.06.2020 |
| Дата введения: | 01.10.2015 |
| Аутентичен стандартам: | ISO/TS 10303-1634:2010 |
| Нормативные ссылки: | ISO 10303-1;ISO 10303-11;ISO 10303-41;ISO/TS 10303-1643;ISO/TS 10303-1740;ISO/TS 10303-1800 |
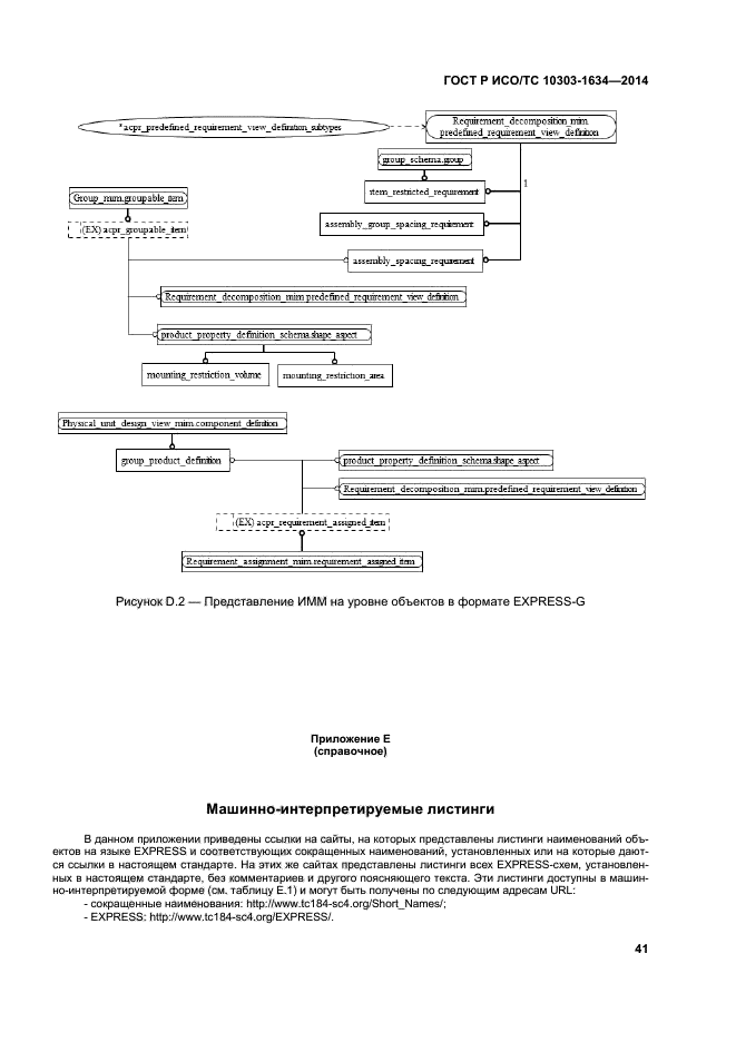
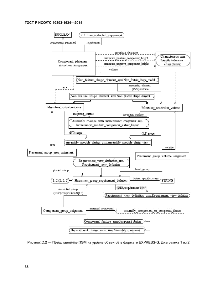
| Область применения: | Настоящий стандарт определяет прикладной модуль «Требования к размещению компонентов электронного узла». В область применения настоящего стандарта входят: - группирование компонентов с целью размещеня; - обозначение групп компонентов; - классификация компонентов с целью размещения; - задание для класса компонентов требований к занимаемому пространству; - обозначение ограничивающих областей на подслое межсоединения; - обозначение ограничивающих пространаств в электронном узле; - задание связи групп компонентов с ограничивающими областями; - задание связи групп компонентов с ограничивающими пространаствами; - описание области на подслое межсоединений, основанное на свойствах компонентов, которые должны размещаться вне этой области; - описание области на подслое межсоединения, основанное на свойствах компонентов, которые могут размещаться внутри этой области; - положения, входящие в область применения прикладного модуля ИСО/ТС 10303-1643 Assembly module with interconnect component |
|
| Расположен в: |
|