| Обозначение: |  ГОСТ Р 56276-2014 |
| Статус: | заменён |
| Название рус.: | Газы парниковые. Углеродный след продукции. Требования и руководящие указания по количественному определению и предоставлению информации |
| Название англ.: | Greenhouse gases. Carbon footprint of products. Requirements and guidelines for quantification and communication |
| Дата актуализации текста: | 06.04.2015 |
| Дата актуализации описания: | 01.07.2023 |
| Дата издания: | 03.03.2015 |
| Дата введения: | 01.01.2016 |
| Дата окончания срока действия: | 01.01.2022 |
| Заменяющий: | ГОСТ Р ИСО 14067-2021 |
| Аутентичен стандартам: | ISO/TR 14067:2013 |
| Нормативные ссылки: | ISO 14025:2006;ISO 14044:2006;ISO 14050 |
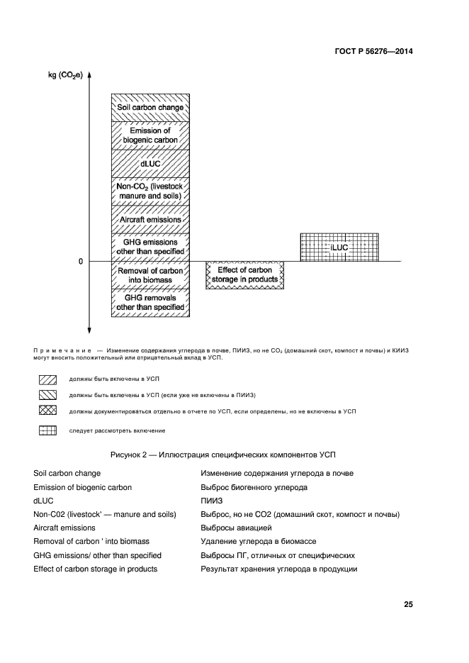
| Область применения: | Настоящий стандарт устанавливает принципы, требования и руководящие указания по углеродному следу продукта, основанному на международных стандартах по оценке жизненного цикла (ИСО 14040 и ИСО 14044) для количественного определения (по экологическим знакам и декларациям) согласно ИСО 14020, ИСО 14024 и ИСО 14025 и при предоставлении информации. В настоящем стандарте также предусмотрены требования и руководящие указания по количественному определению и предоставлению информации по частичному углеродному следу продукта. Настоящий стандарт распространяется на исследования углеродноого следа продукта применительно к различным вариантам предоставления информации по углеродному следу продукта, основанных на результатах исследований |
|
| Расположен в: |
|