| Обозначение: |  ГОСТ Р 56214-2014 |
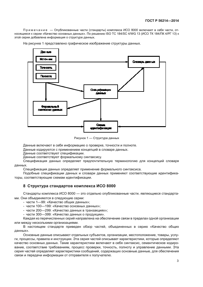
| Статус: | действующий |
| Название рус.: | Качество данных. Часть 1. Обзор |
| Название англ.: | Data qulity. Part 1. Overview |
| Дата актуализации текста: | 01.01.2021 |
| Дата актуализации описания: | 01.01.2021 |
| Дата издания: | 17.01.2019 |
| Дата введения: | 01.07.2015 |
| Взамен: | ГОСТ Р ИСО/ТС 8000-1-2009 |
| Аутентичен стандартам: | ISO/TS 8000-1:2011 |
| Нормативные ссылки: | ISO 8000-2:2017 |
| Область применения: | Настоящий стандарт включает в себя обзор стандартов комплекса ИСО 8000. Стандарт распространяется: - на изложение общих вопросов применения стандартов комплекса ИСО 8000; - введение к теме - данные; - принципы качества данных; - формирование данных в стандартах комплекса ИСО 8000; - описание структуры стандартов комплекса ИСО 8000; - итоговая информация о содержании других частей ИСО 8000; - взаимосвязь комплекса стандартов ИСО 8000 с другими стандартами. Настоящий стандарт не распространяется на характеристики качества и требования к данным общего характера или к специальным данным |
|
| Расположен в: |
|