| Обозначение: |    ГОСТ Р ИСО/МЭК 19794-2-2013 | 
| Статус: | действующий | 
| Название рус.: | Информационные технологии. Биометрия. Форматы обмена биометрическими данными. Часть 2. Данные изображения отпечатка пальца - контрольные точки | 
| Название англ.: | Information technology. Biometrics. Biometric data interchange formats. Part 2. Finger minutiae data | 
| Дата актуализации текста: | 06.04.2015 | 
| Дата актуализации описания: | 01.07.2023 | 
| Дата издания: | 29.01.2015 | 
| Дата введения: | 01.01.2015 | 
| Взамен: |  ГОСТ Р ИСО/МЭК 19794-2-2005 | 
| Аутентичен стандартам: | ISO/IEC 19794-2:2011 | 
| Нормативные ссылки: | ИСО/МЭК 7816-11:2004;ИСО/МЭК 19785-3:2007;ИСО/МЭК 19794-1:2011 | 
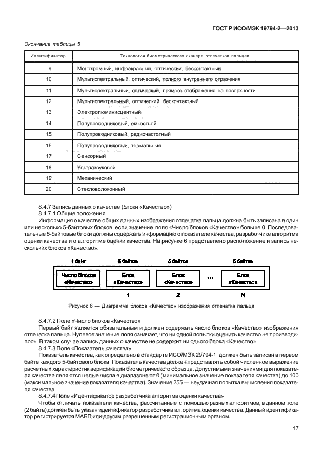
| Область применения: | Настоящий стандарт устанавливает требования к структуре и формату данных для представления отпечатка пальца при помощи основополагающего понятия контрольных точек и распространяется на широкий диапазон прикладных областей, использующих автоматизированное распознавание отпечатка пальца. В настоящем стандарте содержатся термины и определения, описание правил извлечения контрольных точек и форматы данных, в том числе для данных, хранящихся на идентификационных картах. В настоящем стандарте приведены допустимые значения параметров | 
| Список изменений: | №1 от 01.01.2019 (рег. 03.10.2018) «Срок действия продлен» | 
| Приложение №1: | Изменение №1 к ГОСТ Р ИСО/МЭК 19794-2-2013 | 
 | 
| Расположен в: | 
  |