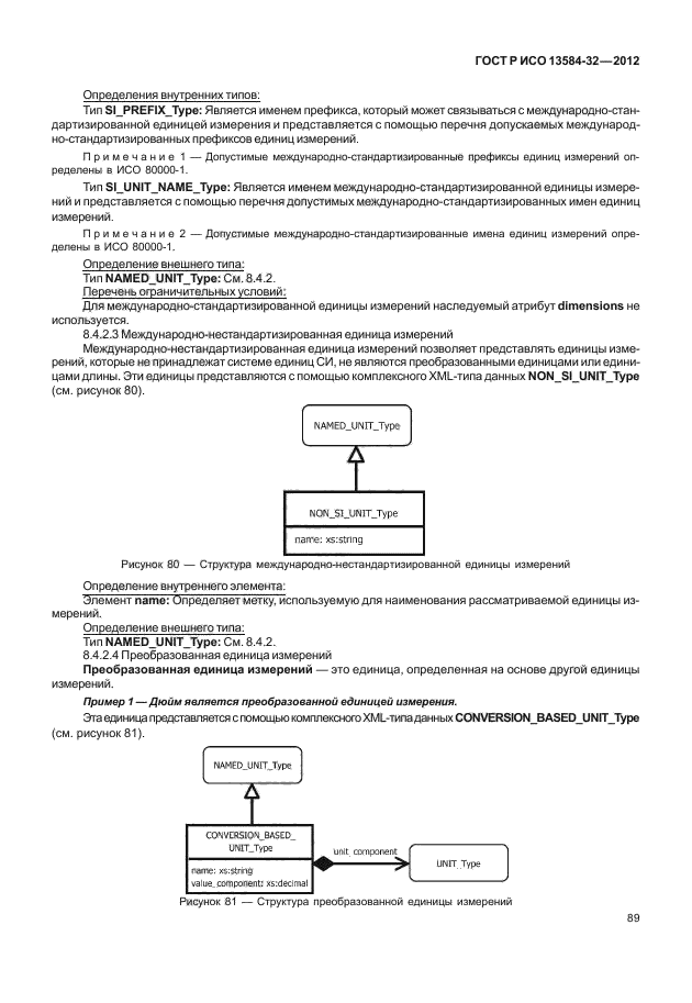
Информационная система
«Ёшкин Кот»

Скачать базу одним архивом
Скачать обновления
История создания базы
Карта сайта

Скачать ГОСТ Р ИСО 13584-32-2012 Системы промышленной автоматизации и интеграция. Библиотека деталей. Часть 32. Ресурсы практической реализации. Язык онтологической разметки продукции

Дата актуализации: 01.06.2025

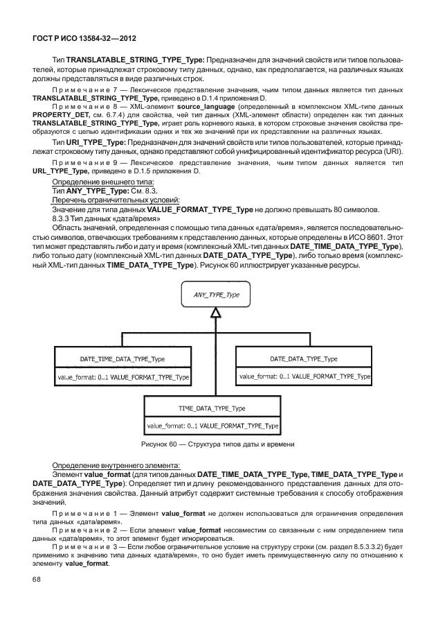
ГОСТ Р ИСО 13584-32-2012

Системы промышленной автоматизации и интеграция. Библиотека деталей. Часть 32. Ресурсы практической реализации. Язык онтологической разметки продукции

Обозначение: ГОСТ Р ИСО 13584-32-2012
Статус:действующий
Название рус.:Системы промышленной автоматизации и интеграция. Библиотека деталей. Часть 32. Ресурсы практической реализации. Язык онтологической разметки продукции
Название англ.:Industrial automation systems and integration. Parts library. Part 32. Implementation resources. Product ontology markup language
Дата актуализации текста:06.04.2015
Дата актуализации описания:01.07.2023
Дата издания:11.02.2015
Дата введения:01.01.2014
Аутентичен стандартам:ISO 13584-32:2010
Нормативные ссылки:ISO 10303-11:2004;ISO/IEC 14977:1996;ISO/TS 29002-5:2009;ISO/TS 29002-10:2009
Область применения:В настоящем стандарте приведено описание XML-языка и XML-схемы для представления данных в соответствии с моделью данных согласно настоящему стандарту. Настоящий стандарт распространяется на: - представление общей модели ИСО 13584/МЭК 61360 с помощью языка UML; - определение двух уровней практической реализации общей модели ИСО 13584/МЭК 61360, названных простым и сложным уровнем соответственно; - спецификацию положений XML-языка, обеспечивающую обмен в XML-формате простых и сложных онтологий, соответствующих общей модели ИСО 13584/МЭК 61360; - спецификацию положений XML-языка, обеспечивающую обмен простых и сложных онтологий, соответствующих общей модели ИСО 13584/МЭК 61360, а также семейств продукции, чьи характеристики определяются с помощью указанных онтологий; - спецификацию глобальных элементов XML-языка, позволяющую использовать OntoML-язык как формат обмена для представления ответов на запросы, выполненных с помощью механизма идентификации концептуального словаря ИСО 29002-20; - спецификацию формального отображения, позволяющую ассоциировать все элементы языка OntoML, атрибуты соответствующих объектов и атрибуты общей модели ИСО 13584/МЭК 61360 с моделью данных на EXPRESS-языке. Настоящий стандарт не распространяется на: - правила построения положений OntoML-языка с помощью общей модели ИСО 13584/МЭК 61360; - спецификацию программы, предназначенную для интерпретации всех операторов отображения, определенных в OntoML-языке для построения соответствующих представлений общей модели ИСО 13584/МЭК 61360 на EXPRESS-языке в соответствии с ИСО 10303-21; - обмен индивидуальных продуктов, характеристики которых определены с помощью онтологий, соответствующих общей модели ИСО 13584/МЭК 61360
Расположен в:Государственные стандарты Общероссийский классификатор стандартов Машиностроение Промышленные автоматизированные системы Измерение и контроль производственного процесса Классификатор государственных стандартов Общетехнические и организационно-методические стандарты Система документации Система стандартов в области охраны природы и улучшения использования природных ресурсов, безопасности труда, научной организации труда
ГОСТ Р ИСО 13584-32-2012ГОСТ Р ИСО 13584-32-2012ГОСТ Р ИСО 13584-32-2012ГОСТ Р ИСО 13584-32-2012ГОСТ Р ИСО 13584-32-2012ГОСТ Р ИСО 13584-32-2012ГОСТ Р ИСО 13584-32-2012ГОСТ Р ИСО 13584-32-2012ГОСТ Р ИСО 13584-32-2012ГОСТ Р ИСО 13584-32-2012ГОСТ Р ИСО 13584-32-2012ГОСТ Р ИСО 13584-32-2012ГОСТ Р ИСО 13584-32-2012ГОСТ Р ИСО 13584-32-2012ГОСТ Р ИСО 13584-32-2012ГОСТ Р ИСО 13584-32-2012ГОСТ Р ИСО 13584-32-2012ГОСТ Р ИСО 13584-32-2012ГОСТ Р ИСО 13584-32-2012ГОСТ Р ИСО 13584-32-2012ГОСТ Р ИСО 13584-32-2012ГОСТ Р ИСО 13584-32-2012ГОСТ Р ИСО 13584-32-2012ГОСТ Р ИСО 13584-32-2012ГОСТ Р ИСО 13584-32-2012ГОСТ Р ИСО 13584-32-2012ГОСТ Р ИСО 13584-32-2012ГОСТ Р ИСО 13584-32-2012ГОСТ Р ИСО 13584-32-2012ГОСТ Р ИСО 13584-32-2012ГОСТ Р ИСО 13584-32-2012ГОСТ Р ИСО 13584-32-2012ГОСТ Р ИСО 13584-32-2012ГОСТ Р ИСО 13584-32-2012ГОСТ Р ИСО 13584-32-2012ГОСТ Р ИСО 13584-32-2012ГОСТ Р ИСО 13584-32-2012ГОСТ Р ИСО 13584-32-2012ГОСТ Р ИСО 13584-32-2012ГОСТ Р ИСО 13584-32-2012ГОСТ Р ИСО 13584-32-2012ГОСТ Р ИСО 13584-32-2012ГОСТ Р ИСО 13584-32-2012ГОСТ Р ИСО 13584-32-2012ГОСТ Р ИСО 13584-32-2012ГОСТ Р ИСО 13584-32-2012ГОСТ Р ИСО 13584-32-2012ГОСТ Р ИСО 13584-32-2012ГОСТ Р ИСО 13584-32-2012ГОСТ Р ИСО 13584-32-2012ГОСТ Р ИСО 13584-32-2012ГОСТ Р ИСО 13584-32-2012ГОСТ Р ИСО 13584-32-2012ГОСТ Р ИСО 13584-32-2012ГОСТ Р ИСО 13584-32-2012ГОСТ Р ИСО 13584-32-2012ГОСТ Р ИСО 13584-32-2012ГОСТ Р ИСО 13584-32-2012ГОСТ Р ИСО 13584-32-2012ГОСТ Р ИСО 13584-32-2012ГОСТ Р ИСО 13584-32-2012ГОСТ Р ИСО 13584-32-2012ГОСТ Р ИСО 13584-32-2012ГОСТ Р ИСО 13584-32-2012ГОСТ Р ИСО 13584-32-2012ГОСТ Р ИСО 13584-32-2012ГОСТ Р ИСО 13584-32-2012ГОСТ Р ИСО 13584-32-2012ГОСТ Р ИСО 13584-32-2012ГОСТ Р ИСО 13584-32-2012ГОСТ Р ИСО 13584-32-2012ГОСТ Р ИСО 13584-32-2012ГОСТ Р ИСО 13584-32-2012ГОСТ Р ИСО 13584-32-2012ГОСТ Р ИСО 13584-32-2012ГОСТ Р ИСО 13584-32-2012ГОСТ Р ИСО 13584-32-2012ГОСТ Р ИСО 13584-32-2012ГОСТ Р ИСО 13584-32-2012ГОСТ Р ИСО 13584-32-2012ГОСТ Р ИСО 13584-32-2012ГОСТ Р ИСО 13584-32-2012ГОСТ Р ИСО 13584-32-2012ГОСТ Р ИСО 13584-32-2012ГОСТ Р ИСО 13584-32-2012ГОСТ Р ИСО 13584-32-2012ГОСТ Р ИСО 13584-32-2012ГОСТ Р ИСО 13584-32-2012ГОСТ Р ИСО 13584-32-2012ГОСТ Р ИСО 13584-32-2012ГОСТ Р ИСО 13584-32-2012ГОСТ Р ИСО 13584-32-2012ГОСТ Р ИСО 13584-32-2012ГОСТ Р ИСО 13584-32-2012ГОСТ Р ИСО 13584-32-2012ГОСТ Р ИСО 13584-32-2012ГОСТ Р ИСО 13584-32-2012ГОСТ Р ИСО 13584-32-2012ГОСТ Р ИСО 13584-32-2012ГОСТ Р ИСО 13584-32-2012ГОСТ Р ИСО 13584-32-2012ГОСТ Р ИСО 13584-32-2012ГОСТ Р ИСО 13584-32-2012ГОСТ Р ИСО 13584-32-2012ГОСТ Р ИСО 13584-32-2012ГОСТ Р ИСО 13584-32-2012ГОСТ Р ИСО 13584-32-2012ГОСТ Р ИСО 13584-32-2012ГОСТ Р ИСО 13584-32-2012ГОСТ Р ИСО 13584-32-2012ГОСТ Р ИСО 13584-32-2012ГОСТ Р ИСО 13584-32-2012ГОСТ Р ИСО 13584-32-2012ГОСТ Р ИСО 13584-32-2012ГОСТ Р ИСО 13584-32-2012ГОСТ Р ИСО 13584-32-2012ГОСТ Р ИСО 13584-32-2012ГОСТ Р ИСО 13584-32-2012ГОСТ Р ИСО 13584-32-2012ГОСТ Р ИСО 13584-32-2012ГОСТ Р ИСО 13584-32-2012ГОСТ Р ИСО 13584-32-2012ГОСТ Р ИСО 13584-32-2012ГОСТ Р ИСО 13584-32-2012ГОСТ Р ИСО 13584-32-2012ГОСТ Р ИСО 13584-32-2012ГОСТ Р ИСО 13584-32-2012ГОСТ Р ИСО 13584-32-2012ГОСТ Р ИСО 13584-32-2012ГОСТ Р ИСО 13584-32-2012ГОСТ Р ИСО 13584-32-2012ГОСТ Р ИСО 13584-32-2012ГОСТ Р ИСО 13584-32-2012ГОСТ Р ИСО 13584-32-2012ГОСТ Р ИСО 13584-32-2012ГОСТ Р ИСО 13584-32-2012ГОСТ Р ИСО 13584-32-2012ГОСТ Р ИСО 13584-32-2012ГОСТ Р ИСО 13584-32-2012ГОСТ Р ИСО 13584-32-2012ГОСТ Р ИСО 13584-32-2012ГОСТ Р ИСО 13584-32-2012ГОСТ Р ИСО 13584-32-2012ГОСТ Р ИСО 13584-32-2012ГОСТ Р ИСО 13584-32-2012ГОСТ Р ИСО 13584-32-2012ГОСТ Р ИСО 13584-32-2012ГОСТ Р ИСО 13584-32-2012ГОСТ Р ИСО 13584-32-2012ГОСТ Р ИСО 13584-32-2012ГОСТ Р ИСО 13584-32-2012ГОСТ Р ИСО 13584-32-2012ГОСТ Р ИСО 13584-32-2012ГОСТ Р ИСО 13584-32-2012ГОСТ Р ИСО 13584-32-2012ГОСТ Р ИСО 13584-32-2012ГОСТ Р ИСО 13584-32-2012ГОСТ Р ИСО 13584-32-2012ГОСТ Р ИСО 13584-32-2012ГОСТ Р ИСО 13584-32-2012ГОСТ Р ИСО 13584-32-2012ГОСТ Р ИСО 13584-32-2012ГОСТ Р ИСО 13584-32-2012ГОСТ Р ИСО 13584-32-2012ГОСТ Р ИСО 13584-32-2012ГОСТ Р ИСО 13584-32-2012ГОСТ Р ИСО 13584-32-2012ГОСТ Р ИСО 13584-32-2012ГОСТ Р ИСО 13584-32-2012ГОСТ Р ИСО 13584-32-2012ГОСТ Р ИСО 13584-32-2012ГОСТ Р ИСО 13584-32-2012ГОСТ Р ИСО 13584-32-2012ГОСТ Р ИСО 13584-32-2012ГОСТ Р ИСО 13584-32-2012ГОСТ Р ИСО 13584-32-2012ГОСТ Р ИСО 13584-32-2012ГОСТ Р ИСО 13584-32-2012ГОСТ Р ИСО 13584-32-2012ГОСТ Р ИСО 13584-32-2012ГОСТ Р ИСО 13584-32-2012ГОСТ Р ИСО 13584-32-2012ГОСТ Р ИСО 13584-32-2012ГОСТ Р ИСО 13584-32-2012ГОСТ Р ИСО 13584-32-2012ГОСТ Р ИСО 13584-32-2012ГОСТ Р ИСО 13584-32-2012ГОСТ Р ИСО 13584-32-2012ГОСТ Р ИСО 13584-32-2012ГОСТ Р ИСО 13584-32-2012ГОСТ Р ИСО 13584-32-2012ГОСТ Р ИСО 13584-32-2012ГОСТ Р ИСО 13584-32-2012ГОСТ Р ИСО 13584-32-2012ГОСТ Р ИСО 13584-32-2012ГОСТ Р ИСО 13584-32-2012ГОСТ Р ИСО 13584-32-2012ГОСТ Р ИСО 13584-32-2012ГОСТ Р ИСО 13584-32-2012ГОСТ Р ИСО 13584-32-2012ГОСТ Р ИСО 13584-32-2012ГОСТ Р ИСО 13584-32-2012ГОСТ Р ИСО 13584-32-2012ГОСТ Р ИСО 13584-32-2012ГОСТ Р ИСО 13584-32-2012ГОСТ Р ИСО 13584-32-2012ГОСТ Р ИСО 13584-32-2012ГОСТ Р ИСО 13584-32-2012ГОСТ Р ИСО 13584-32-2012ГОСТ Р ИСО 13584-32-2012ГОСТ Р ИСО 13584-32-2012ГОСТ Р ИСО 13584-32-2012ГОСТ Р ИСО 13584-32-2012ГОСТ Р ИСО 13584-32-2012ГОСТ Р ИСО 13584-32-2012ГОСТ Р ИСО 13584-32-2012ГОСТ Р ИСО 13584-32-2012ГОСТ Р ИСО 13584-32-2012ГОСТ Р ИСО 13584-32-2012ГОСТ Р ИСО 13584-32-2012ГОСТ Р ИСО 13584-32-2012ГОСТ Р ИСО 13584-32-2012ГОСТ Р ИСО 13584-32-2012ГОСТ Р ИСО 13584-32-2012ГОСТ Р ИСО 13584-32-2012ГОСТ Р ИСО 13584-32-2012ГОСТ Р ИСО 13584-32-2012ГОСТ Р ИСО 13584-32-2012ГОСТ Р ИСО 13584-32-2012ГОСТ Р ИСО 13584-32-2012

© 2013 Ёшкин Кот :-) Карта сайта