Информационная система
«Ёшкин Кот»

Скачать базу одним архивом
Скачать обновления
История создания базы
Карта сайта

Скачать ГОСТ Р 53192-2014 Соединения сварные в стальных конструкциях железнодорожного подвижного состава. Требования к проектированию, выполнению и контролю качества

Дата актуализации: 01.06.2025

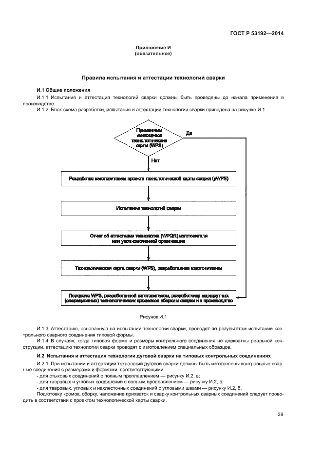
ГОСТ Р 53192-2014

Соединения сварные в стальных конструкциях железнодорожного подвижного состава. Требования к проектированию, выполнению и контролю качества

Обозначение: ГОСТ Р 53192-2014
Статус:отменён
Название рус.:Соединения сварные в стальных конструкциях железнодорожного подвижного состава. Требования к проектированию, выполнению и контролю качества
Дата актуализации текста:15.10.2015
Дата актуализации описания:01.07.2023
Дата издания:23.07.2015
Дата введения:01.05.2015
Дата окончания срока действия:01.07.2017
Код ОКП:318042
Взамен:ГОСТ Р 53192-2008
На территории РФ пользоваться:ГОСТ 33976-2016
Нормативные ссылки:ГОСТ Р 53525-2009;ГОСТ Р 53526-2009;ГОСТ Р 53689-2009;ГОСТ Р 53690-2009;ГОСТ Р ИСО 857-1-2009;ГОСТ Р ИСО 3834-1-2007;ГОСТ Р ИСО 5817-2009;ГОСТ Р ИСО 17659-2009;ГОСТ 12.1.004-91;ГОСТ 12.1.005-88;ГОСТ 12.1.030-81;ГОСТ 12.2.003-91;ГОСТ 12.2.007.0-75;ГОСТ 12.2.007.8-75;ГОСТ 12.2.008-75;ГОСТ 12.3.002-75;ГОСТ 12.3.003-86;ГОСТ 12.3.036-84;ГОСТ 14.201-83;ГОСТ 380-2005;ГОСТ 977-88;ГОСТ 1050-88;ГОСТ 2246-70;ГОСТ 2601-84;ГОСТ 3242-79;ГОСТ 5264-80;ГОСТ 5520-79;ГОСТ 5632-72;ГОСТ 6032-2003;ГОСТ 6996-66;ГОСТ 7512-82;ГОСТ 8050-85;ГОСТ 8713-79;ГОСТ 9087-81;ГОСТ 9466-75;ГОСТ 9467-75;ГОСТ 10052-75;ГОСТ 10157-79;ГОСТ 10885-85;ГОСТ 11533-75;ГОСТ 11534-75;ГОСТ 11969-79;ГОСТ 14771-76;ГОСТ 14776-79;ГОСТ 14782-86;ГОСТ 14792-80;ГОСТ 15150-69;ГОСТ 15878-79;ГОСТ 16098-80;ГОСТ 17066-94;ГОСТ 19281-89;ГОСТ 21357-87;ГОСТ 22703-2012;ГОСТ 23518-79;ГОСТ 23949-80;ГОСТ 30242-97
Область применения:Настоящий стандарт распространяется на проектирование, выполнение и контроль качества сварных соединений и сварных узлов в стальных конструкциях железнодорожного подвижного состава климатических исполнений по ГОСТ 15150
Список изменений:№0 от 30.06.2017 (рег. 17.11.2016) «Текстовое изменение; Изменено заглавие»
Расположен в:Государственные стандарты Общероссийский классификатор стандартов Железнодорожная техника Подвижной состав железных дорог Классификатор государственных стандартов Транспортные средства и тара Железнодорожный транспорт Арматура, узлы и детали подвижного состава железных дорог Окп Продукция тяжелого, энергетического и транспортного машиностроения Оборудование и подвижной состав железных дорог Вагоны грузовые магистральные, передаваемые из рабочего парка МПС
ГОСТ Р 53192-2014ГОСТ Р 53192-2014ГОСТ Р 53192-2014ГОСТ Р 53192-2014ГОСТ Р 53192-2014ГОСТ Р 53192-2014ГОСТ Р 53192-2014ГОСТ Р 53192-2014ГОСТ Р 53192-2014ГОСТ Р 53192-2014ГОСТ Р 53192-2014ГОСТ Р 53192-2014ГОСТ Р 53192-2014ГОСТ Р 53192-2014ГОСТ Р 53192-2014ГОСТ Р 53192-2014ГОСТ Р 53192-2014ГОСТ Р 53192-2014ГОСТ Р 53192-2014ГОСТ Р 53192-2014ГОСТ Р 53192-2014ГОСТ Р 53192-2014ГОСТ Р 53192-2014ГОСТ Р 53192-2014ГОСТ Р 53192-2014ГОСТ Р 53192-2014ГОСТ Р 53192-2014ГОСТ Р 53192-2014ГОСТ Р 53192-2014ГОСТ Р 53192-2014ГОСТ Р 53192-2014ГОСТ Р 53192-2014ГОСТ Р 53192-2014ГОСТ Р 53192-2014ГОСТ Р 53192-2014ГОСТ Р 53192-2014ГОСТ Р 53192-2014ГОСТ Р 53192-2014ГОСТ Р 53192-2014ГОСТ Р 53192-2014ГОСТ Р 53192-2014ГОСТ Р 53192-2014ГОСТ Р 53192-2014ГОСТ Р 53192-2014ГОСТ Р 53192-2014ГОСТ Р 53192-2014ГОСТ Р 53192-2014ГОСТ Р 53192-2014ГОСТ Р 53192-2014ГОСТ Р 53192-2014

© 2013 Ёшкин Кот :-) Карта сайта