| Обозначение: |    ГОСТ IEC/PAS 62569-1-2014 | 
| Статус: | действующий | 
| Название рус.: | Групповые технические требования к информации о продукции. Часть 1. Принципы и методы | 
| Дата актуализации текста: | 01.01.2021 | 
| Дата актуализации описания: | 01.07.2023 | 
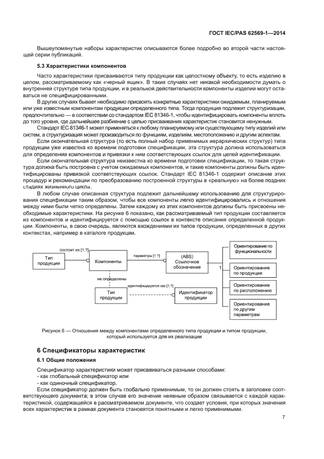
| Дата регистрации: | 30.09.2014 | 
| Дата издания: | 29.06.2020 | 
| Дата введения: | 01.10.2015 | 
| Аутентичен стандартам: | IEC/PAS 62569-1(2009) | 
| Нормативные ссылки: | ISO 31-0:1992;ISO 1000:1992;ISO 80000;IEC 60027;IEC 61360-1(2004);IEC 81346-1 | 
| Область применения: | В публикациях стандартам серии IEC 62569 устанавливаются принципы и методы составления спецификаций, определяющих свойства продукции, как, например, в справочных листках технических данных. В этих публикациях используются типы элементов данных, представленные в словаре IEC 61360. Настоящей общедоступной спецификацией (PAS) определяются классификаторы, подлежащие использованию в дополнение к характеристикам, которые охватывают различные стадии жизненного цикла и другие аспекты эксплуатации изделий. Эта первая часть является основополагающей для всех последующих частей вышеуказанной серии стандартов | 
 | 
| Расположен в: | 
  |