Информационная система
«Ёшкин Кот»

Скачать базу одним архивом
Скачать обновления
История создания базы
Карта сайта

Скачать ГОСТ 4442-2014 Ленты и полосы из свинцовой латуни. Технические условия

Дата актуализации: 01.06.2025

ГОСТ 4442-2014

Ленты и полосы из свинцовой латуни. Технические условия

Обозначение: ГОСТ 4442-2014
Статус:действующий
Название рус.:Ленты и полосы из свинцовой латуни. Технические условия
Дата актуализации текста:06.04.2015
Дата актуализации описания:01.07.2023
Дата регистрации:14.11.2014
Дата издания:02.03.2015
Дата введения:01.09.2015
Взамен:ГОСТ 4442-72
Нормативные ссылки:ГОСТ 166-89;ГОСТ 427-75;ГОСТ 1497-84;ГОСТ 1652.1-77;ГОСТ 1652.2-77;ГОСТ 1652.3-77;ГОСТ 1652.4-77;ГОСТ 1652.5-77;ГОСТ 1652.6-77;ГОСТ 1652.7-77;ГОСТ 1652.8-77;ГОСТ 1652.9-77;ГОСТ 1652.10-77;ГОСТ 1652.11-77;ГОСТ 1652.12-77;ГОСТ 1652.13-77;ГОСТ 2991-85;ГОСТ 3282-74;ГОСТ 3560-73;ГОСТ 4381-87;ГОСТ 6507-90;ГОСТ 7502-98;ГОСТ 8273-75;ГОСТ 9078-84;ГОСТ 9557-87;ГОСТ 10198-91;ГОСТ 11701-84;ГОСТ 14192-96;ГОСТ 15102-75;ГОСТ 15527-2004;ГОСТ 15846-2002;ГОСТ 18477-79;ГОСТ 20435-75;ГОСТ 21073.1-75;ГОСТ 21140-88;ГОСТ 21650-76;ГОСТ 22225-76;ГОСТ 24047-80;ГОСТ 24231-80;ГОСТ 25086-2011;ГОСТ 26663-85;ГОСТ 26877-2008;СТ СЭВ 543-77
Область применения:Настоящий стандарт распространяется на холоднокатаные ленты и полосы из свинцовой латуни, предназначенные для прецизионного приборостроения
Расположен в:Государственные стандарты Общероссийский классификатор стандартов Металлургия Продукция из цветных металлов Продукция из меди Классификатор государственных стандартов Металлы и металлические изделия Цветные металлы и их сплавы. Прокат из цветных металлов Ленты
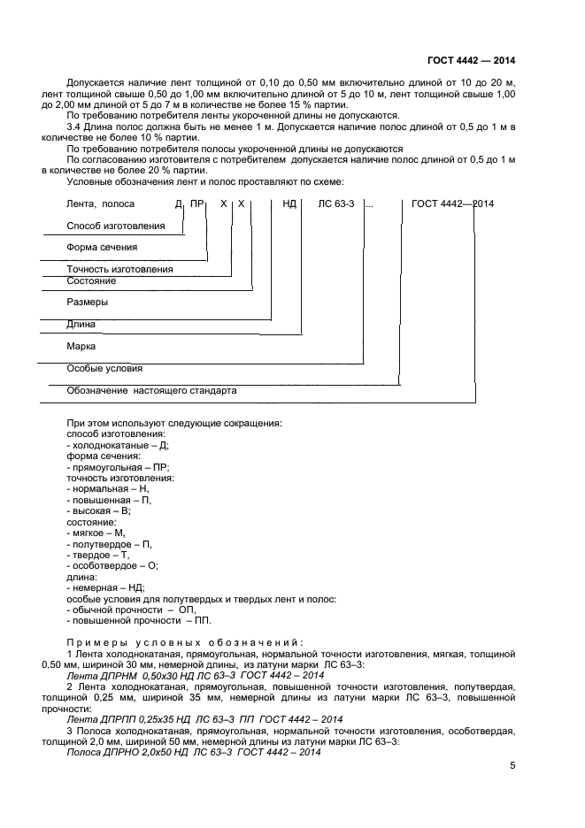
ГОСТ 4442-2014ГОСТ 4442-2014ГОСТ 4442-2014ГОСТ 4442-2014ГОСТ 4442-2014ГОСТ 4442-2014ГОСТ 4442-2014ГОСТ 4442-2014ГОСТ 4442-2014ГОСТ 4442-2014ГОСТ 4442-2014ГОСТ 4442-2014

© 2013 Ёшкин Кот :-) Карта сайта