| Обозначение: |  ГОСТ Р 56213.4-2014 |
| Статус: | действующий |
| Название рус.: | Системы промышленной автоматизации и интеграция. Обмен данными характеристик. Часть 4. Базовые элементы и типы |
| Дата актуализации текста: | 01.01.2021 |
| Дата актуализации описания: | 01.01.2021 |
| Дата издания: | 25.01.2019 |
| Дата введения: | 01.07.2015 |
| Аутентичен стандартам: | ISO/TS 29002-4:2009 |
| Нормативные ссылки: | ISO/TS 29002-5 |
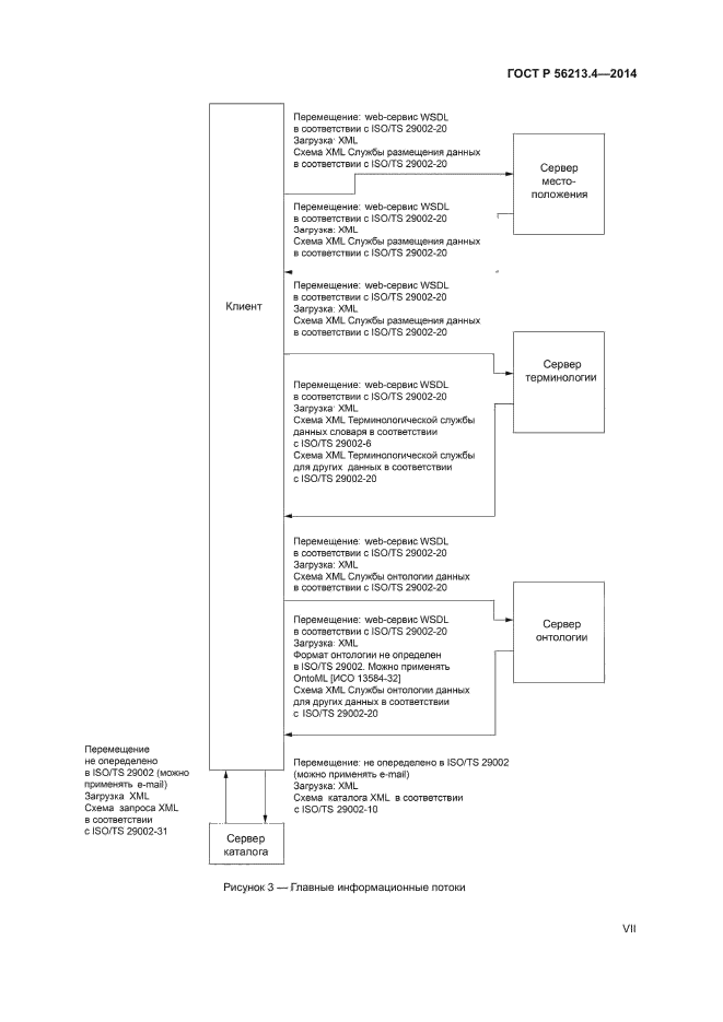
| Область применения: | Настоящий стандарт устанавливает концептуальную информационную модель и формат файла для обмена данными, применяемыми как информационные ресурсы во всех других стандартах комплекса ИСО/ТС 29002. Концептуальная модель представлена в системе унифицированного языка моделирования (UML). Физический формат файла основывается на схеме расширяемого языка разметки (XML). Настоящий стандарт распространяется на: - концептуальную модель для основных элементов и типов данных; - формат обмена для основных элементов и типов данных. Настоящий стандарт не распространяется на требования к структуре и формату идентификаторов |
|
| Расположен в: |
|