| Обозначение: |  ГОСТ Р 56215-2014 |
| Статус: | действующий |
| Название рус.: | Качество данных. Часть 150. Основные данные. Структура управления качеством |
| Дата актуализации текста: | 01.01.2021 |
| Дата актуализации описания: | 01.07.2023 |
| Дата издания: | 06.04.2020 |
| Дата введения: | 01.07.2015 |
| Аутентичен стандартам: | ISO/TS 8000-150:2011 |
| Нормативные ссылки: | ISO 8000-2;ISO 8000-110;ISO/TS 8000-120:2009 |
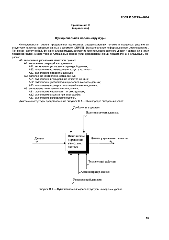
| Область применения: | Настоящий стандарт определяет основные принципы целевого подхода к управлению качеством основных данных, а также анализирует требования, применяемые организацией для осуществления управления качеством основных данных. Документ включает в себя также описание информационной структуры идентификации процессов управления качеством данных. Настоящий стандарт распространяется: - на основные принципы управления качеством основных данных; - требования к: - реализации; - обмену данными; - источнику информации; - структуру управления качеством основных данных: - процессы высокого и низкого уровней; - роли (объектов) |
|
| Расположен в: |
|