| Обозначение: |  ГОСТ Р 56213.20-2014 |
| Статус: | действующий |
| Название рус.: | Системы промышленной автоматизации и интеграция. Обмен данными характеристик. Часть 20. Услуги по осуществлению поиска информации в словаре концепций |
| Дата актуализации текста: | 01.01.2021 |
| Дата актуализации описания: | 01.07.2023 |
| Дата издания: | 03.04.2020 |
| Дата введения: | 01.07.2015 |
| Аутентичен стандартам: | ISO/TS 29002-20:2010 |
| Нормативные ссылки: | ISO/TS 29002-5;ISO/TS 29002-6;ISO/IEC 9075-2:2003 |
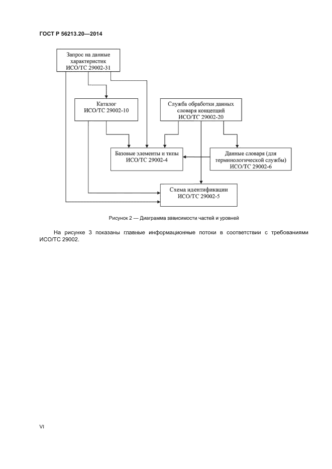
| Область применения: | Настоящий стандарт устанавливает требования к интерфейсу, с помощью которого осуществляется поиск информации в словаре концепций. Можно отыскать терминологическую и онтологическую информация, а также найти нужную концепцию. Интерфейс может быть определен как совокупность услуг по осуществлению поиска информации в словаре концепций (CDRS). Услуги достаточно абстрактны и это позволяет устанавливать различные связи и увязка, такие, как например, язык описания интернет услуг (WSDL) с протоколом доступа к простому объекту (SOAP). Всем услугам при реализации требуются соответствующие средства обеспечения |
| Список изменений: | №0 от 31.05.2015 (рег. 31.05.2015) «Дата введения перенесена» |
| Приложение №1: | Поправка к ГОСТ Р 56213.20-2014 |
|
| Расположен в: |
|