| Обозначение: |  ГОСТ Р 56213.10-2014 |
| Статус: | действующий |
| Название рус.: | Системы промышленной автоматизации и интеграция. Обмен данными характеристик. Часть 10. Формат обмена данными характеристик |
| Дата актуализации текста: | 01.01.2021 |
| Дата актуализации описания: | 01.07.2023 |
| Дата издания: | 06.04.2020 |
| Дата введения: | 01.07.2015 |
| Аутентичен стандартам: | ISO/TS 29002-10:2009 |
| Нормативные ссылки: | ISO/TS 29002-4;ISO/TS 29002-5 |
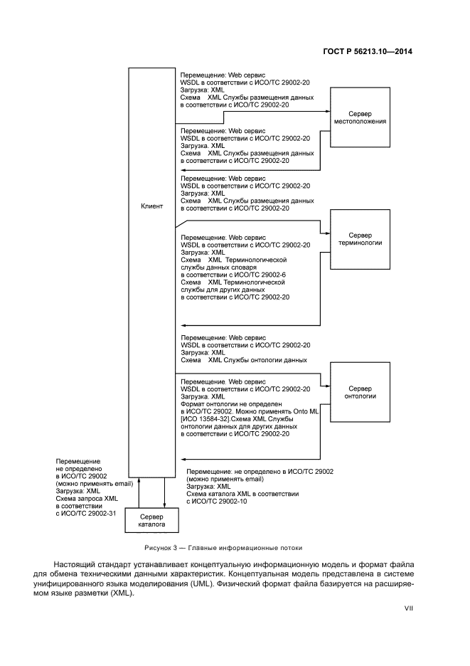
| Область применения: | Настоящий стандарт устанавливает концептуальную информационную модель и формат файла для обмена техническими данными характеристик. Концептуальная модель представлена в системе унифицированного языка моделирования (UML). Физический формат файла основывается на схеме расширяемого языка разметки (XML) |
|
| Расположен в: |
|