| Обозначение: |  ГОСТ Р ИСО 22514-7-2014 |
| Статус: | заменён |
| Название рус.: | Статистические методы. Управление процессами. Часть 7. Воспроизводимость процессов измерений |
| Дата актуализации текста: | 26.02.2016 |
| Дата актуализации описания: | 01.01.2025 |
| Дата издания: | 29.05.2020 |
| Дата введения: | 01.12.2015 |
| Дата окончания срока действия: | 01.01.2025 |
| Заменяющий: | ГОСТ Р ИСО 22514-7-2024 |
| Аутентичен стандартам: | ISO 22514-7:2012 |
| Нормативные ссылки: | ISO 3534-1;ISO 3534-2;ISO 5725-1;ISO 5725-2;ISO 5725-3;ISO 5725-4;ISO 5725-5;ISO 5725-6;ISO 7870-1;ISO/IEC Guide 98-3:2008 |
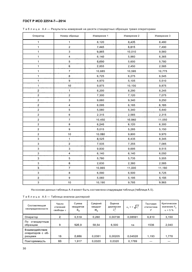
| Область применения: | В настоящем стандарте установлена процедура валидации измерительной системы и процесса измерений на соответствие установленной метрологической задачи с рекомендованным критерием приемки. Критерий приемки определен в виде индекса воспроизводимости (Сms) или отношения воспроизводимости (Qms) |
|
| Расположен в: |
|