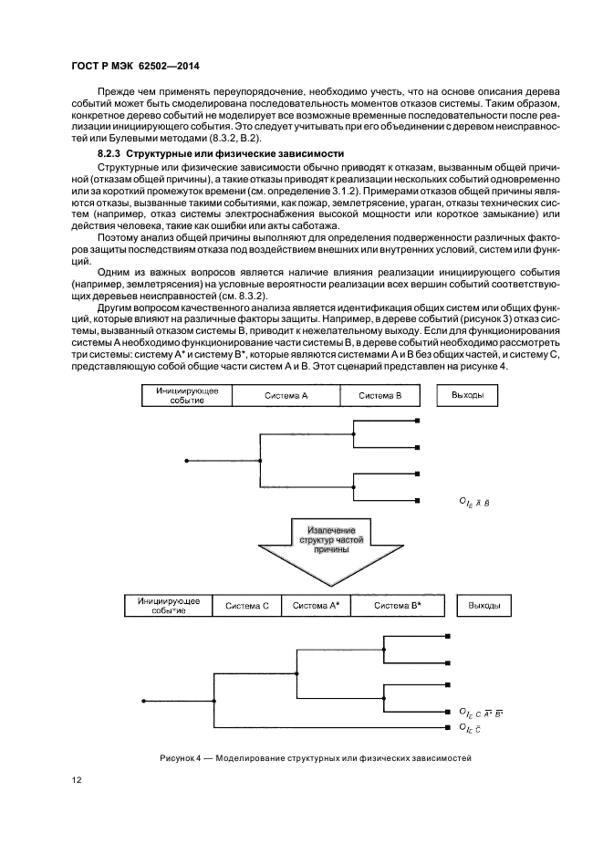
| Обозначение: |    ГОСТ Р МЭК 62502-2014 | 
| Статус: | действующий | 
| Название рус.: | Менеджмент риска. Анализ дерева событий | 
| Дата актуализации текста: | 01.08.2015 | 
| Дата актуализации описания: | 01.07.2023 | 
| Дата издания: | 20.04.2015 | 
| Дата введения: | 01.12.2015 | 
| Аутентичен стандартам: | IEC 62502(2010) | 
| Нормативные ссылки: | IEC 60050-191(1990);IEC 61025(2006) | 
| Область применения: | В настоящем стандарте установлены основные принципы метода ЕТА ETA Event tree analysis.) (анализ дерева событий) и приведено руководство по моделированию последствий инициирующих событий, а также качественному и количественному анализу показателей надежности и риска. В настоящем стандарте по отношению к анализу дерева событий установлены: a) основные термины, используемые обозначения и способы графического представления; b) этапы процедуры построения дерева событий; c) предположения, ограничения и преимущества анализа ЕТА; d) взаимосвязь ЕТА с другими методами анализа надежности и риска и области применения метода; e) рекомендации по определению качественных и количественных оценок; f) практические примеры применения метода. Настоящий стандарт применим во всех случаях, когда необходимо определить оценки показателей надежности и риска | 
 | 
| Расположен в: | 
  |