Информационная система
«Ёшкин Кот»

Скачать базу одним архивом
Скачать обновления
История создания базы
Карта сайта

Скачать ГОСТ Р 56130-2014 Интегрированная логистическая поддержка экспортируемой продукции военного назначения. Оценка затрат на техническую эксплуатацию на стадии разработки

Дата актуализации: 01.06.2025

ГОСТ Р 56130-2014

Интегрированная логистическая поддержка экспортируемой продукции военного назначения. Оценка затрат на техническую эксплуатацию на стадии разработки

Обозначение: ГОСТ Р 56130-2014
Статус:действующий
Название рус.:Интегрированная логистическая поддержка экспортируемой продукции военного назначения. Оценка затрат на техническую эксплуатацию на стадии разработки
Дата актуализации текста:06.04.2015
Дата актуализации описания:01.07.2023
Дата издания:02.03.2015
Дата введения:01.09.2015
Нормативные ссылки:ГОСТ Р 53392-2009;ГОСТ Р 55929-2013;ГОСТ Р 56111-2014;ГОСТ Р 56136-2014;ГОСТ 18322-78
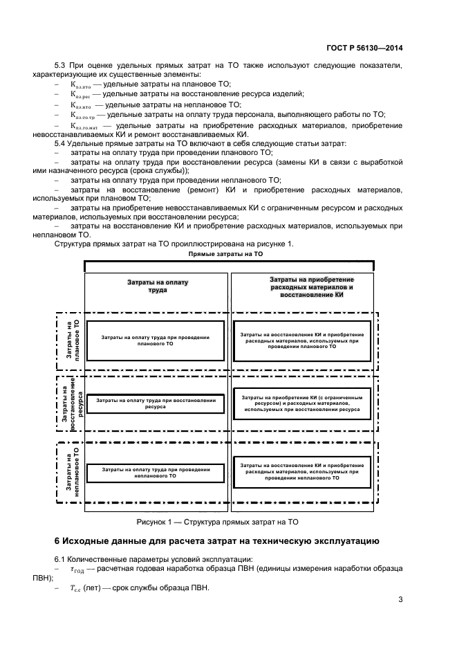
Область применения:Настоящий стандарт определяет методы оценки затрат на техническую эксплуатацию образца продукции военного назначения на стадии его разработки. Стандарт распространяется на самостоятельно применяемые изделия и их составные части. Требования настоящего стандарта распространяются на следующие виды продукции военного назначения: - вооружение и военная техника; - системы связи и управления войсками, вооружением и военной техникой; - инженерно-технические сооружения, оборудование для боевого применения вооружения и военной техники (там, где это применимо); - специальное оборудование для производства, ремонта, модернизации и (или) уничтожения (утилизации) вооружения и военной техники (там, где это применимо)
Расположен в:Государственные стандарты Общероссийский классификатор стандартов Военная техника Военно-инженерное дело. Военные действия. Оружие. Классификатор государственных стандартов Общетехнические и организационно-методические стандарты Система документации Государственная система стандартизации и нормативно-технической документации
ГОСТ Р 56130-2014ГОСТ Р 56130-2014ГОСТ Р 56130-2014ГОСТ Р 56130-2014ГОСТ Р 56130-2014ГОСТ Р 56130-2014ГОСТ Р 56130-2014ГОСТ Р 56130-2014ГОСТ Р 56130-2014ГОСТ Р 56130-2014ГОСТ Р 56130-2014ГОСТ Р 56130-2014

© 2013 Ёшкин Кот :-) Карта сайта