| Обозначение: |  ГОСТ Р 56152-2014 |
| Статус: | действующий |
| Название рус.: | Телевидение вещательное цифровое. Интерфейс модулятора (T2-MI) для системы цифрового телевизионного вещания второго поколения (DVB-T2). Основные параметры |
| Дата актуализации текста: | 01.01.2021 |
| Дата актуализации описания: | 01.01.2021 |
| Дата издания: | 06.04.2020 |
| Дата введения: | 01.09.2015 |
| Код ОКП: | 657400 |
| Нормативные ссылки: | ГОСТ Р 54994-2012 |
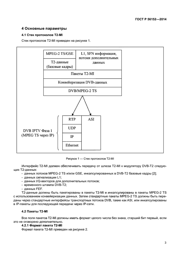
| Область применения: | Настоящий стандарт распространяется на интерфейс модулятора (T2-MI) для системы цифрового телевизионного вещания второго поколения (DVB-T2) [1]. Стандарт устанавливает основные параметры интерфейса передачи сигнала от Т2-шлюза к модулятору DVB-T2 при их работе в составе многочастотных и одночастотных сетей. Требования настоящего стандарта следует учитывать при разработке, изготовлении и эксплуатации оборудования DVB-T2. |
|
| Расположен в: |
|