| Обозначение: |    ГОСТ Р ИСО/ТС 10303-1124-2014 | 
| Статус: | действующий | 
| Название рус.: | Системы автоматизации производства и их интеграция. Представление данных об изделии и обмен этими данными. Часть 1124. Прикладной модуль. Отношения между документами | 
| Дата актуализации текста: | 06.04.2015 | 
| Дата актуализации описания: | 01.07.2023 | 
| Дата издания: | 25.01.2019 | 
| Дата введения: | 01.08.2015 | 
| Аутентичен стандартам: | ISO/TS 10303-1124:2004 | 
| Нормативные ссылки: | ISO/IEC 8824-1:2015;ISO 10303-1:1994;ISO 10303-11:2004;ISO 10303-21:2016;ISO 10303-41:2018;ISO 10303-242:2014;ISO/TS 10303-1001:2018;ISO/TS 10303-1017:2004;ISO/TS 10303-1123:2004;ISO/TS 10303-1127:2014 | 
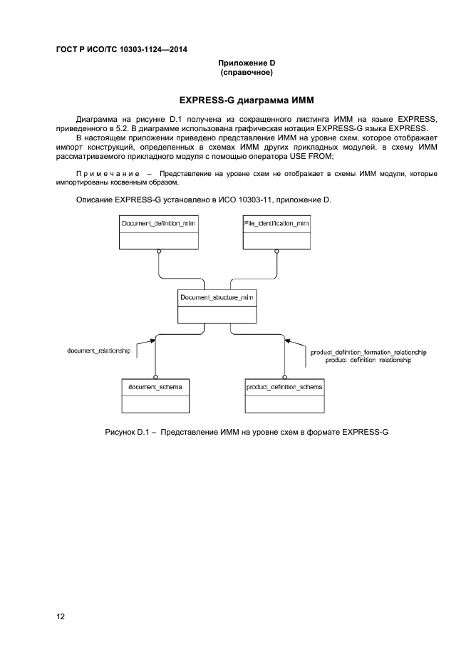
| Область применения: | Настоящий стандарт определяет прикладной модуль «Отношения между документами». В область применения настоящего стандарта входят: - отношения между файлами; - отношения между определениями документов | 
 | 
| Расположен в: | 
  |