| Обозначение: |  ГОСТ Р ИСО/ТС 10303-1126-2014 |
| Статус: | действующий |
| Название рус.: | Системы автоматизации производства и их интеграция. Представление данных об изделии и обмен этими данными. Часть 1126. Прикладной модуль. Свойства документа |
| Дата актуализации текста: | 06.04.2015 |
| Дата актуализации описания: | 01.07.2023 |
| Дата издания: | 20.05.2020 |
| Дата введения: | 01.08.2015 |
| Аутентичен стандартам: | ISO/TS 10303-1126:2010 |
| Нормативные ссылки: | ISO/IEC 8824-1:2008;ISO 10303-1:1994;ISO 10303-11:2004;ISO 10303-21:2002;ISO 10303-41:2005;ISO 10303-43:2011;ISO 10303-45:2008;ISO 10303-202:1996;ISO/TS 10303-1001:2010;ISO/TS 10303-1006:2010;ISO/TS 10303-1017:2010;ISO/TS 10303-1030:2006;ISO/TS 10303-1118:2004;ISO/TS 10303-1123:2004;ISO/TS 10303-1127:2011 |
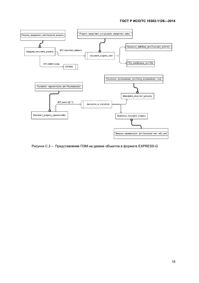
| Область применения: | Настоящий стандарт определяет прикладной модуль «Свойства документа». В область применения настоящего стандарта входят: - задание свойств отдельного представления документа некоторой версии; - задание свойств файла; - описание присущих документу свойств; - описание представления присущих документу свойств. В область применения настоящего стандарта не входит обозначение документов и версий документов |
|
| Расположен в: |
|