| Обозначение: |  ГОСТ Р ИСО 18629-12-2010 |
| Статус: | действующий |
| Название рус.: | Системы промышленной автоматизации и интеграция. Язык спецификаций процесса. Часть 12. Внешнее ядро |
| Название англ.: | Industrial automation systems and integration. Process specification language. Part 12. Outer core |
| Дата актуализации текста: | 06.04.2015 |
| Дата актуализации описания: | 01.07.2023 |
| Дата издания: | 15.05.2020 |
| Дата введения: | 01.09.2011 |
| Аутентичен стандартам: | ISO 18629-12:2005 |
| Нормативные ссылки: | ISO/IEC 8824-1;ISO 10303-1;ISO 15531-1;ISO 18629-1;ISO 18629-11 |
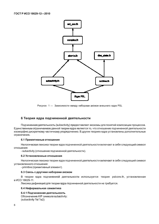
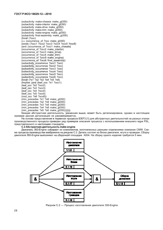
| Область применения: | Настоящий стандарт в форме аксиом и определений устанавливает понятия, относящиеся к внешнему ядру языка, что позволяет аксиоматизировать семантику терминологии, используемой для описания внешнего ядра в соответствии с требованиями комплекса стандартов ИСО 18629. Настоящий стандарт распространяется на: - деятельность и ее агрегирование; - дискретные деятельности и их состояния; - ограничения деятельности; - параллельные примитивные деятельности; - составные деятельности; - примеры составных деятельностей |
|
| Расположен в: |
|