| Обозначение: |  ГОСТ Р ИСО 26262-9-2014 |
| Статус: | действующий |
| Название рус.: | Дорожные транспортные средства. Функциональная безопасность. Часть 9. Анализ уровня полноты безопасности автомобиля и анализ безопасности автомобиля |
| Дата актуализации текста: | 06.04.2015 |
| Дата актуализации описания: | 01.07.2023 |
| Дата издания: | 20.01.2015 |
| Дата введения: | 01.05.2015 |
| Аутентичен стандартам: | ISO 26262-9:2011 |
| Нормативные ссылки: | ISO 26262-1:2011;ISO 26262-2:2011;ISO 26262-3:2011;ISO 26262-4:2011;ISO 26262-5:2011;ISO 26262-6:2011;ISO 26262-8:2011 |
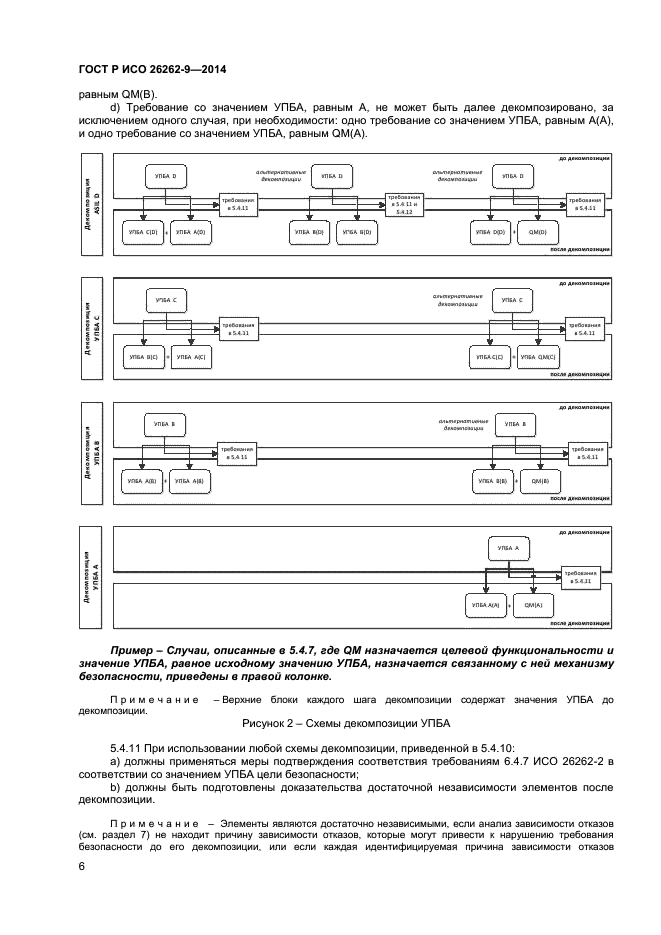
| Область применения: | Настоящий стандарт применяется к связанным с безопасностью системам, включающим в себя одну или несколько электрических и/или электронных систем, которые установлены в серийно производимых легковых автомобилях с максимальной массой (брутто) транспортного средства до 3500 кг. Настоящий стандарт не применяется для уникальных электрических и/или электронных систем в транспортных средствах специального назначения, таких как транспортные средства, предназначенные для водителей с ограниченными возможностями |
|
| Расположен в: |
|