| Обозначение: |  ГОСТ ISO 21549-8-2013 |
| Статус: | действующий |
| Название рус.: | Информатизация здоровья. Структура данных на пластиковой карте пациента. Часть 8. Ссылки |
| Дата актуализации текста: | 01.01.2021 |
| Дата актуализации описания: | 01.07.2023 |
| Дата регистрации: | 05.11.2013 |
| Дата издания: | 25.10.2018 |
| Дата введения: | 01.07.2015 |
| Аутентичен стандартам: | ISO 21549-8:2010 |
| Нормативные ссылки: | ISO 21549-2;ISO 21549-4;HL7v3;IETF RFC 3986 |
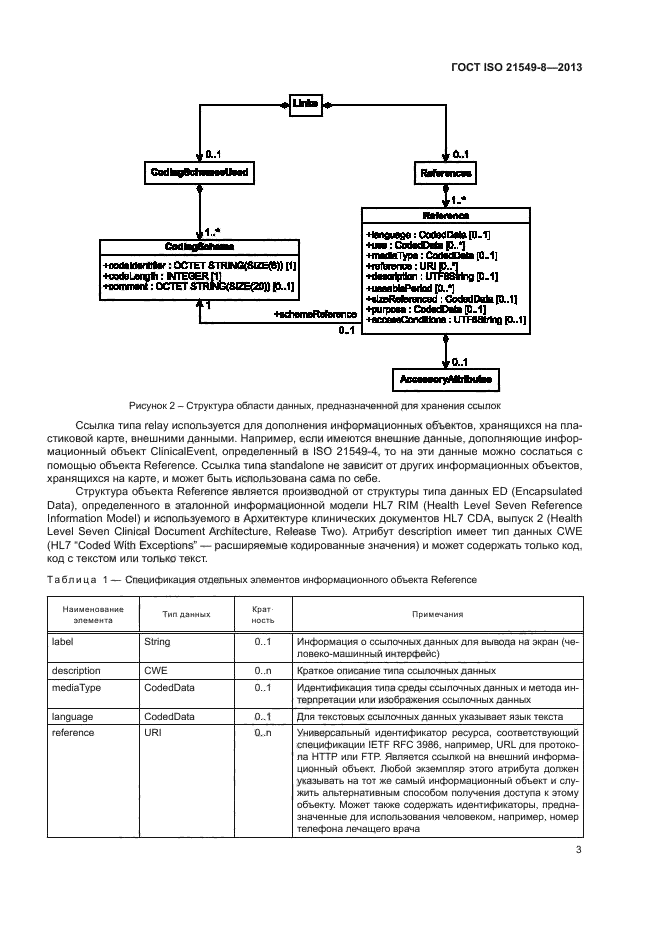
| Область применения: | В настоящем стандарте определен способ облегчения доступа к распределенным данным о здоровье или к административной информации с помощью пластиковой карты пациента. В нем определены структура и элементы ссылок, обычно хранящихся на пластиковой карте и задающих связи с конкретными записями о здоровье пациента или с их субкомпонентами. Механизмы контроля доступа, защиты данных, а также методы доступа и другие средства обеспечения безопасности данных не входят в область применения настоящего стандарта |
|
| Расположен в: |
|