Информационная система
«Ёшкин Кот»

Скачать базу одним архивом
Скачать обновления
История создания базы
Карта сайта

Скачать ГОСТ ISO 13606-5-2013 Информатизация здоровья. Передача электронных медицинских карт. Часть 5. Спецификация интерфейсов

Дата актуализации: 01.06.2025

ГОСТ ISO 13606-5-2013

Информатизация здоровья. Передача электронных медицинских карт. Часть 5. Спецификация интерфейсов

Обозначение: ГОСТ ISO 13606-5-2013
Статус:действующий
Название рус.:Информатизация здоровья. Передача электронных медицинских карт. Часть 5. Спецификация интерфейсов
Дата актуализации текста:01.01.2021
Дата актуализации описания:01.01.2021
Дата регистрации:05.11.2013
Дата издания:24.10.2018
Дата введения:01.07.2015
Аутентичен стандартам:ISO 13606-5:2010
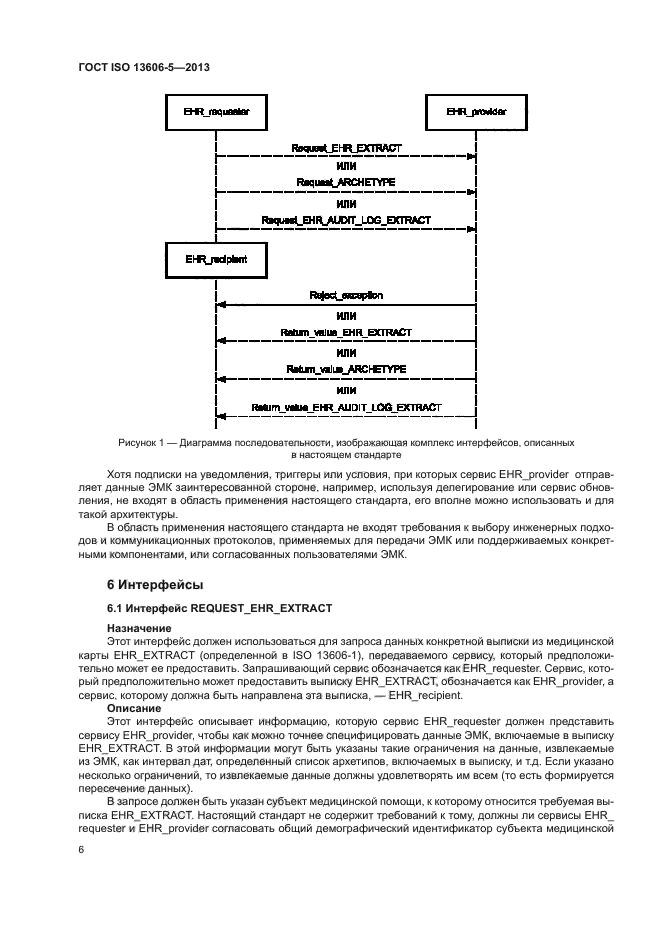
Область применения:Настоящий стандарт описывает информационную архитектуру, требуемую для интероперабельных коммуникаций между системами и сервисами, которые запрашивают или предоставляют данные ЭМК. Настоящий стандарт не распространяется на внутреннюю архитектуру или структуру базы данных таких систем. Субъектом передаваемой медицинской карты или части медицинской карты является одно физическое лицо, и рамки информационного взаимодействия в основном ограничены сведениями о медицинской помощи, оказываемой этому пациенту. Использование медицинских карт для других целей, например, администрирование, управление, научные и эпидемиологические исследования, не входят в область применения настоящего стандарта, но пользователи подобной вторичной информации тем не менее могут найти настоящий стандарт полезным. В настоящем стандарте определен комплекс интерфейсов, которые обеспечивают прием запросов и передачу результатов для следующих информационных объектов: - выписка EHR_EXTRACT данного субъекта медицинской помощи в соответствии с ISO 13606-1; - один или несколько архетипов ARCHETYPE в соответствии с ISO 13606-2; - информация журнала аудита EHR_AUDIT_LOG_EXTRACT, относящаяся к данному субъекту медицинской помощи, в соответствии с ISO 13606-4. В настоящем стандарте определен комплекс взаимодействий, предназначенных для запроса каждого из этих артефактов и для передачи запрашивающей стороне данных либо отказа в выполнении запроса. Интерфейс произвольных запросов данных одной или нескольких ЭМК, например, в целях клинического аудита или научных исследований, не входит в область применения настоящего стандарта, хотя запрос выписки EHR_EXTRACT может обслуживать также и запросы данных из нескольких ЭМК. Настоящий стандарт описывает каждый интерфейс с вычислительной точки зрения, не указывая и не ограничивая инженерные методы реализации в форме передачи сообщений или вызовов сервисов. В настоящем стандарте приведено эффективное определение полезной нагрузки, передаваемой при вызове каждого интерфейса. В нем не описана ни конкретная дополнительная информация, требуемая различными транспортными протоколами, ни процедуры защиты данных или аутентификации, которые могут быть согласованы взаимодействующими сторонами или требоваться различными регламентами
Расположен в:Государственные стандарты Общероссийский классификатор стандартов Информационные технологии. Машины конторские Применение информационных технологий Применение информационных технологий в здравоохранении Классификатор государственных стандартов Измерительные приборы. Средства автоматизации и вычислительной техники Средства вычислительной техники и автоматизированные системы управления Виды представления информации и математическое обеспечение машин
ГОСТ ISO 13606-5-2013ГОСТ ISO 13606-5-2013ГОСТ ISO 13606-5-2013ГОСТ ISO 13606-5-2013ГОСТ ISO 13606-5-2013ГОСТ ISO 13606-5-2013ГОСТ ISO 13606-5-2013ГОСТ ISO 13606-5-2013ГОСТ ISO 13606-5-2013ГОСТ ISO 13606-5-2013ГОСТ ISO 13606-5-2013ГОСТ ISO 13606-5-2013ГОСТ ISO 13606-5-2013ГОСТ ISO 13606-5-2013ГОСТ ISO 13606-5-2013ГОСТ ISO 13606-5-2013ГОСТ ISO 13606-5-2013ГОСТ ISO 13606-5-2013ГОСТ ISO 13606-5-2013

© 2013 Ёшкин Кот :-) Карта сайта