| Обозначение: |    ГОСТ ISO 22036-2014 | 
| Статус: | действующий | 
| Название рус.: | Качество почвы. Определение микроэлементов в экстрактах почвы с использованием атомно-эмиссионной спектрометрии индуктивно связанной плазмы (ИСП-АЭС) | 
| Дата актуализации текста: | 01.01.2021 | 
| Дата актуализации описания: | 01.07.2023 | 
| Дата регистрации: | 30.05.2014 | 
| Дата издания: | 02.02.2015 | 
| Дата введения: | 01.07.2015 | 
| Аутентичен стандартам: | ISO 22036:2008 | 
| Нормативные ссылки: | ISO Guide 32;ISO 3696;ISO 5725-1;ISO 5725-2;ISO 11465;ISO 11466;ISO 14869-1;ISO 14869-2;ISO 14870 | 
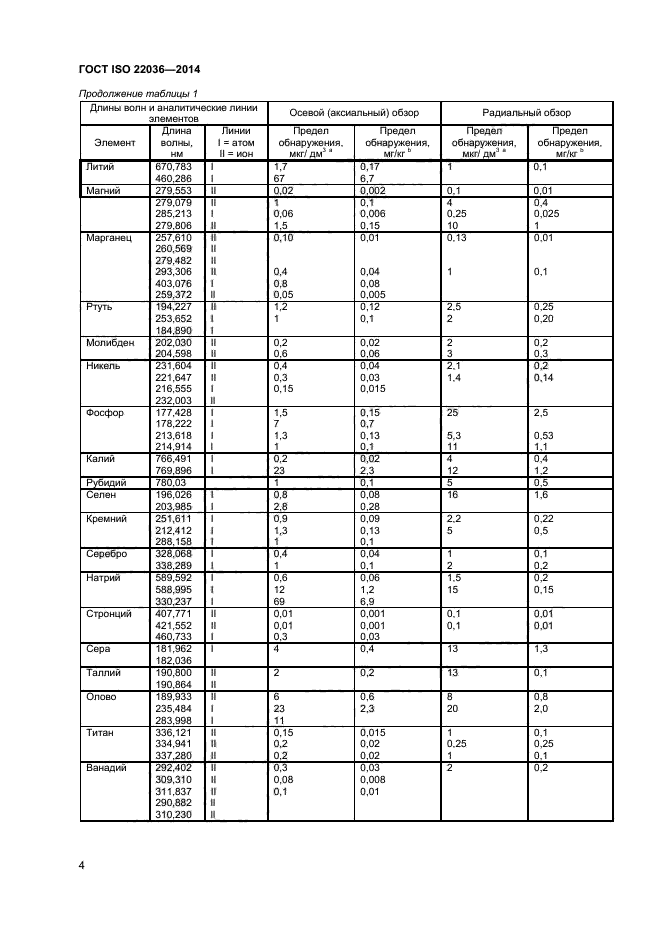
| Область применения: | Настоящий стандарт описывает определение микроэлементов в экстрактах после кислотного разложения почв или в почвенных растворах с использованием метода атомно-эмиссионной спектрометрии индуктивно связанной плазмы (ИСП-АЭС) для 34 элементов | 
 | 
| Расположен в: | 
  |