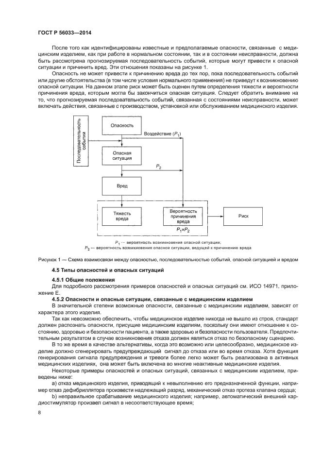
| ||||||||||||||||||||||||||||||||
Скачать ГОСТ Р 56033-2014 Руководство по разработке и включению аспектов безопасности в международные стандарты на медицинские изделияДата актуализации: 01.06.2025
| ||||||||||||||||||||||||||||||||
| Обозначение: | ![]() ГОСТ Р 56033-2014 |
| Статус: | действующий |
| Название рус.: | Руководство по разработке и включению аспектов безопасности в международные стандарты на медицинские изделия |
| Дата актуализации текста: | 01.01.2021 |
| Дата актуализации описания: | 01.06.2025 |
| Дата издания: | 29.04.2020 |
| Дата введения: | 01.06.2015 |
| Дата окончания срока действия: | 01.09.2025 |
| Код ОКП: | 940000 |
| Заменяющий: | ГОСТ Р 56033-2025 |
| Аутентичен стандартам: | ISO/IEC Guide 63:2012 |
| Область применения: | Настоящий стандарт предоставляет общие рекомендации по включению аспектов безопасности в стандарты на медицинские изделия, которые предназначены для использования в рамках менеджмента риска, установленного в ИСО 14971. Настоящий стандарт основывается на концепциях, установленных в Руководстве ИСО/МЭК 51, с целью включения в рассмотрение функциональных характеристик и эксплуатационной пригодности, связанных с безопасностью. Настоящий стандарт предназначен для использования совместно с Руководством ИСО/МЭК 51 и ИСО 14971 |
| Расположен в: | |























