Информационная система
«Ёшкин Кот»

Скачать базу одним архивом
Скачать обновления
История создания базы
Карта сайта

Скачать ГОСТ ISO 12100-2013 Безопасность машин. Основные принципы конструирования. Оценки риска и снижения риска

Дата актуализации: 01.06.2025

ГОСТ ISO 12100-2013

Безопасность машин. Основные принципы конструирования. Оценки риска и снижения риска

Обозначение: ГОСТ ISO 12100-2013
Статус:действующий
Название рус.:Безопасность машин. Основные принципы конструирования. Оценки риска и снижения риска
Дата актуализации текста:15.10.2015
Дата актуализации описания:01.01.2021
Дата регистрации:14.11.2013
Дата издания:19.08.2015
Дата введения:01.01.2015
Код ОКП:381000
Аутентичен стандартам:ISO 12100:2010
Нормативные ссылки:IEC 60204-1(2005)
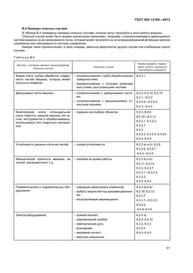
Область применения:Настоящий стандарт определяет основные термины и устанавливает методы и принципы оценки и снижения риска, способствующие обеспечению безопасности машин на стадии проектирования. Эти принципы основаны на знаниях и опыте конструирования, эксплуатации машин, на анализе неполадок, несчастных случаев и рисков, связанных с машинами и механизмами. В стандарте описаны процедуры идентификации опасностей, качественной и количественной оценки рисков на протяжении всех фаз жизненного цикла машины и рекомендации по устранению опасностей или удовлетворительному снижению рисков. Даны руководящие указания по контролю и документальному оформлению процессов оценки и снижения риска. В настоящем стандарте не рассматриваются вопросы, связанные с безопасностью домашних животных, нанесением ущерба имуществу или окружающей среде
Расположен в:Государственные стандарты Общероссийский классификатор стандартов Охрана окружающей среды, защита человека от воздействия окружающей среды. Безопасность Безопасность механизмов Классификатор государственных стандартов Машины, оборудование и инструмент Общие правила и нормы по машиностроению Техника безопасности Окп Оборудование металлообрабатывающее и деревообрабатывающее Станки металлорежущие
ГОСТ ISO 12100-2013ГОСТ ISO 12100-2013ГОСТ ISO 12100-2013ГОСТ ISO 12100-2013ГОСТ ISO 12100-2013ГОСТ ISO 12100-2013ГОСТ ISO 12100-2013ГОСТ ISO 12100-2013ГОСТ ISO 12100-2013ГОСТ ISO 12100-2013ГОСТ ISO 12100-2013ГОСТ ISO 12100-2013ГОСТ ISO 12100-2013ГОСТ ISO 12100-2013ГОСТ ISO 12100-2013ГОСТ ISO 12100-2013ГОСТ ISO 12100-2013ГОСТ ISO 12100-2013ГОСТ ISO 12100-2013ГОСТ ISO 12100-2013ГОСТ ISO 12100-2013ГОСТ ISO 12100-2013ГОСТ ISO 12100-2013ГОСТ ISO 12100-2013ГОСТ ISO 12100-2013ГОСТ ISO 12100-2013ГОСТ ISO 12100-2013ГОСТ ISO 12100-2013ГОСТ ISO 12100-2013ГОСТ ISO 12100-2013ГОСТ ISO 12100-2013ГОСТ ISO 12100-2013ГОСТ ISO 12100-2013ГОСТ ISO 12100-2013ГОСТ ISO 12100-2013ГОСТ ISO 12100-2013ГОСТ ISO 12100-2013ГОСТ ISO 12100-2013ГОСТ ISO 12100-2013ГОСТ ISO 12100-2013ГОСТ ISO 12100-2013ГОСТ ISO 12100-2013ГОСТ ISO 12100-2013ГОСТ ISO 12100-2013ГОСТ ISO 12100-2013ГОСТ ISO 12100-2013ГОСТ ISO 12100-2013ГОСТ ISO 12100-2013ГОСТ ISO 12100-2013ГОСТ ISO 12100-2013ГОСТ ISO 12100-2013ГОСТ ISO 12100-2013ГОСТ ISO 12100-2013ГОСТ ISO 12100-2013ГОСТ ISO 12100-2013ГОСТ ISO 12100-2013ГОСТ ISO 12100-2013ГОСТ ISO 12100-2013ГОСТ ISO 12100-2013ГОСТ ISO 12100-2013ГОСТ ISO 12100-2013ГОСТ ISO 12100-2013ГОСТ ISO 12100-2013ГОСТ ISO 12100-2013ГОСТ ISO 12100-2013ГОСТ ISO 12100-2013ГОСТ ISO 12100-2013ГОСТ ISO 12100-2013ГОСТ ISO 12100-2013ГОСТ ISO 12100-2013ГОСТ ISO 12100-2013ГОСТ ISO 12100-2013ГОСТ ISO 12100-2013ГОСТ ISO 12100-2013ГОСТ ISO 12100-2013

© 2013 Ёшкин Кот :-) Карта сайта