| ||||||||||||||||||||||||||
Скачать ГОСТ Р 55944-2014 Подшипники скольжения из модифицированной древесины. Допуски и посадкиДата актуализации: 01.06.2025
| ||||||||||||||||||||||||||
| Обозначение: | ![]() ГОСТ Р 55944-2014 |
| Статус: | действующий |
| Название рус.: | Подшипники скольжения из модифицированной древесины. Допуски и посадки |
| Дата актуализации текста: | 01.01.2021 |
| Дата актуализации описания: | 01.07.2023 |
| Дата издания: | 02.10.2014 |
| Дата введения: | 01.01.2015 |
| Нормативные ссылки: | ГОСТ 166-89; ГОСТ 2789-73; ГОСТ 15612–85; ГОСТ 16483.0-89; ГОСТ 21523.4-77; ГОСТ 25346-89; ГОСТ Р 54577-2011; ГОСТ Р 54912-2012 |
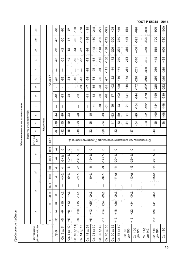
| Область применения: | Настоящий стандарт распространяется на подшипники скольжения из модифицированной древесины, применяемые в узлах трения различных машин и оборудования, а также на образованные ими посадки совместно с металлическими валами и втулками (корпусами подшипников). Стандарт устанавливает термины, определения и условные обозначения, допуски, предельные зазоры и натяги для посадок подшипников скольжения из модифицированной древесины |
| Расположен в: | |






















