| Обозначение: |  ГОСТ Р 55939-2014 |
| Статус: | действующий |
| Название рус.: | Телевидение вещательное цифровое. Наземное цифровое телевизионное вещание. Система передачи для переносных терминалов (DVB-H). Основные параметры |
| Дата актуализации текста: | 01.01.2021 |
| Дата актуализации описания: | 01.07.2023 |
| Дата издания: | 06.04.2020 |
| Дата введения: | 01.09.2014 |
| Код ОКП: | 657400 |
| Нормативные ссылки: | ГОСТ Р 52210; ГОСТ Р 52591; ГОСТ Р 53528 |
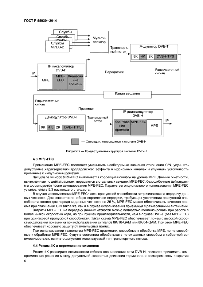
| Область применения: | Настоящий стандарт распространяется на систему передачи наземного цифрового телевизионного вещания для переносных [мобильных, портативных] терминалов (DVB Handheld system; DVB-H). Стандарт устанавливает требования к параметрам системы передачи мультимедийных служб при использовании ссылок на стандарты цифрового телевидения ETSI |
|
| Расположен в: |
|