Информационная система
«Ёшкин Кот»

Скачать базу одним архивом
Скачать обновления
История создания базы
Карта сайта

Скачать ГОСТ Р 55932-2013 Интегрированная логистическая поддержка экспортируемой продукции военного назначения. Эксплуатационная и ремонтная документация. Требования к поставке и внесению изменений

Дата актуализации: 01.06.2025

ГОСТ Р 55932-2013

Интегрированная логистическая поддержка экспортируемой продукции военного назначения. Эксплуатационная и ремонтная документация. Требования к поставке и внесению изменений

Обозначение: ГОСТ Р 55932-2013
Статус:действующий
Название рус.:Интегрированная логистическая поддержка экспортируемой продукции военного назначения. Эксплуатационная и ремонтная документация. Требования к поставке и внесению изменений
Дата актуализации текста:01.01.2021
Дата актуализации описания:01.07.2023
Дата издания:25.12.2018
Дата введения:01.09.2014
Нормативные ссылки:ГОСТ 2.051;ГОСТ 2.304;ГОСТ 2.601;ГОСТ 2.602;ГОСТ 2.603;ГОСТ 2.610;ГОСТ 7.67;ГОСТ 7.75;ГОСТ 28147;ГОСТ ИСО 8601;ГОСТ Р 34.10;ГОСТ Р 34.11;ГОСТ Р 50739;ГОСТ Р 54089
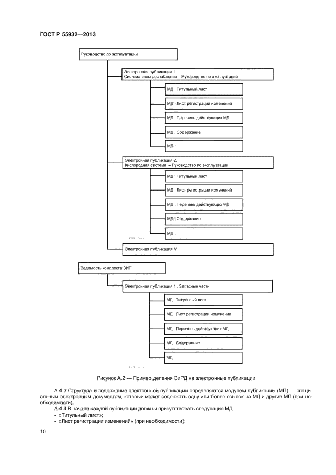
Область применения:Настоящий стандарт устанавливает требования к способам и процедурам поставки эксплуатационной и ремонтной документации на экспортируемую продукцию военного назначения. Требования настоящего стандарта распространяются на следующие виды продукции военного назначения: - вооружение и военную технику; - системы связи и управления войсками, вооружением и военной техникой; - инженерно-технические сооружения, оборудование для боевого применения вооружения и военной техники (там, где это применимо); - специальное оборудование для производства, ремонта, модернизации и (или) уничтожения (утилизации) вооружения и военной техники (там, где это применимо); - объекты для производства, эксплуатации, ремонта, модернизации и (или) уничтожения (утилизации) вооружения и военной техники (там, где это применимо). На основе настоящего стандарта допускается, при необходимости, разрабатывать стандарты, устанавливающие требования к способам и процедурам поставки эксплуатационной и ремонтной документации на конкретные виды продукции военного назначения с учетом их специфики
Расположен в:Государственные стандарты Общероссийский классификатор стандартов Общие положения. Терминология. Стандартизация. Документация Словари Общие положения. Терминология. Стандартизация. Документация Классификатор государственных стандартов Общетехнические и организационно-методические стандарты Общетехнические и метрологические термины, обозначения и величины Общетехнические термины, обозначения и величины
ГОСТ Р 55932-2013ГОСТ Р 55932-2013ГОСТ Р 55932-2013ГОСТ Р 55932-2013ГОСТ Р 55932-2013ГОСТ Р 55932-2013ГОСТ Р 55932-2013ГОСТ Р 55932-2013ГОСТ Р 55932-2013ГОСТ Р 55932-2013ГОСТ Р 55932-2013ГОСТ Р 55932-2013ГОСТ Р 55932-2013ГОСТ Р 55932-2013ГОСТ Р 55932-2013

© 2013 Ёшкин Кот :-) Карта сайта