Информационная система
«Ёшкин Кот»

Скачать базу одним архивом
Скачать обновления
История создания базы
Карта сайта

Скачать ГОСТ Р ИСО 24616-2013 Менеджмент языковых ресурсов. Многоязычная информационная система

Дата актуализации: 01.06.2025

ГОСТ Р ИСО 24616-2013

Менеджмент языковых ресурсов. Многоязычная информационная система

Обозначение: ГОСТ Р ИСО 24616-2013
Статус:действующий
Название рус.:Менеджмент языковых ресурсов. Многоязычная информационная система
Дата актуализации текста:06.04.2015
Дата актуализации описания:01.07.2023
Дата издания:14.12.2020
Дата введения:01.01.2015
Аутентичен стандартам:ISO 24616:2012
Нормативные ссылки:ISO 12620:2019;ISO 8879
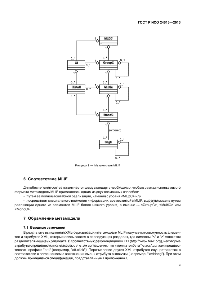
Область применения:Настоящий стандарт предоставляет общую платформу для моделирования и организации многоязычной информации в различных областях применения, таких как локализация, перевод, мультимедийное аннотирование, управление документооборотом, поддержка электронных библиотек и разнообразные прикладные информационные модели и моделирование предприятий. Описываемая в стандарте многоязычная информационная система MLIF (multilingual information framework) содержит в себе метамодель и совокупность общих категорий данных (по ИСО 12620:2009) для различных областей применения
Расположен в:Государственные стандарты Общероссийский классификатор стандартов Общие положения. Терминология. Стандартизация. Документация Терминология Классификатор государственных стандартов Общетехнические и организационно-методические стандарты Общетехнические и метрологические термины, обозначения и величины Общетехнические термины, обозначения и величины
ГОСТ Р ИСО 24616-2013ГОСТ Р ИСО 24616-2013ГОСТ Р ИСО 24616-2013ГОСТ Р ИСО 24616-2013ГОСТ Р ИСО 24616-2013ГОСТ Р ИСО 24616-2013ГОСТ Р ИСО 24616-2013ГОСТ Р ИСО 24616-2013ГОСТ Р ИСО 24616-2013ГОСТ Р ИСО 24616-2013ГОСТ Р ИСО 24616-2013ГОСТ Р ИСО 24616-2013ГОСТ Р ИСО 24616-2013ГОСТ Р ИСО 24616-2013ГОСТ Р ИСО 24616-2013ГОСТ Р ИСО 24616-2013ГОСТ Р ИСО 24616-2013ГОСТ Р ИСО 24616-2013ГОСТ Р ИСО 24616-2013ГОСТ Р ИСО 24616-2013ГОСТ Р ИСО 24616-2013ГОСТ Р ИСО 24616-2013ГОСТ Р ИСО 24616-2013ГОСТ Р ИСО 24616-2013ГОСТ Р ИСО 24616-2013ГОСТ Р ИСО 24616-2013ГОСТ Р ИСО 24616-2013ГОСТ Р ИСО 24616-2013ГОСТ Р ИСО 24616-2013ГОСТ Р ИСО 24616-2013ГОСТ Р ИСО 24616-2013ГОСТ Р ИСО 24616-2013ГОСТ Р ИСО 24616-2013ГОСТ Р ИСО 24616-2013ГОСТ Р ИСО 24616-2013

© 2013 Ёшкин Кот :-) Карта сайта