| Обозначение: |  ГОСТ Р 55688-2013 |
| Статус: | действующий |
| Название рус.: | Аудиовизуальная информационная система реального времени (РАВИС). Формирователь контента. Структура и протоколы передачи данных |
| Дата актуализации текста: | 01.01.2021 |
| Дата актуализации описания: | 01.07.2023 |
| Дата издания: | 03.04.2020 |
| Дата введения: | 01.09.2014 |
| Код ОКП: | 657300 |
| Нормативные ссылки: | ГОСТ Р 54309-2011; ГОСТ Р 54708;ГОСТ IEC 60065-2013; ГОСТ 12.1.030; ГОСТ 12.2.007.0; ГОСТ 15150; ГОСТ 22261 |
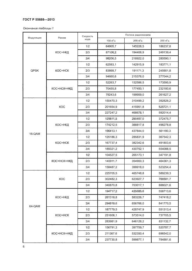
| Область применения: | Настоящий стандарт распространяется на формирователь контента системы цифрового наземного узкополосного мультимедийного вещания РАВИС в ОВЧ диапазоне частот, предназначенный для формирования мультиплекса РАВИС, передаваемого на цифровой модулятор РАВИС для вещания |
|
| Расположен в: |
|