| Обозначение: |  ГОСТ Р ИСО 22745-11-2013 |
| Статус: | отменён |
| Название рус.: | Системы промышленной автоматизации и интеграция. Открытые технические словари и их применение к основным данным. Часть 11. Руководящие принципы по формулированию терминологии |
| Дата актуализации текста: | 06.04.2015 |
| Дата актуализации описания: | 01.07.2023 |
| Дата издания: | 01.10.2014 |
| Дата введения: | 01.07.2014 |
| Дата окончания срока действия: | 01.10.2018 |
| Взамен: | ГОСТ Р ИСО/ТС 22745-11-2009 |
| Аутентичен стандартам: | ISO 22745-11:2010 |
| На территории РФ пользоваться: | ГОСТ ISO 22745-11-2017 |
| Нормативные ссылки: | ISO 704;ISO 22745-2;ISO 80000-1:2009 |
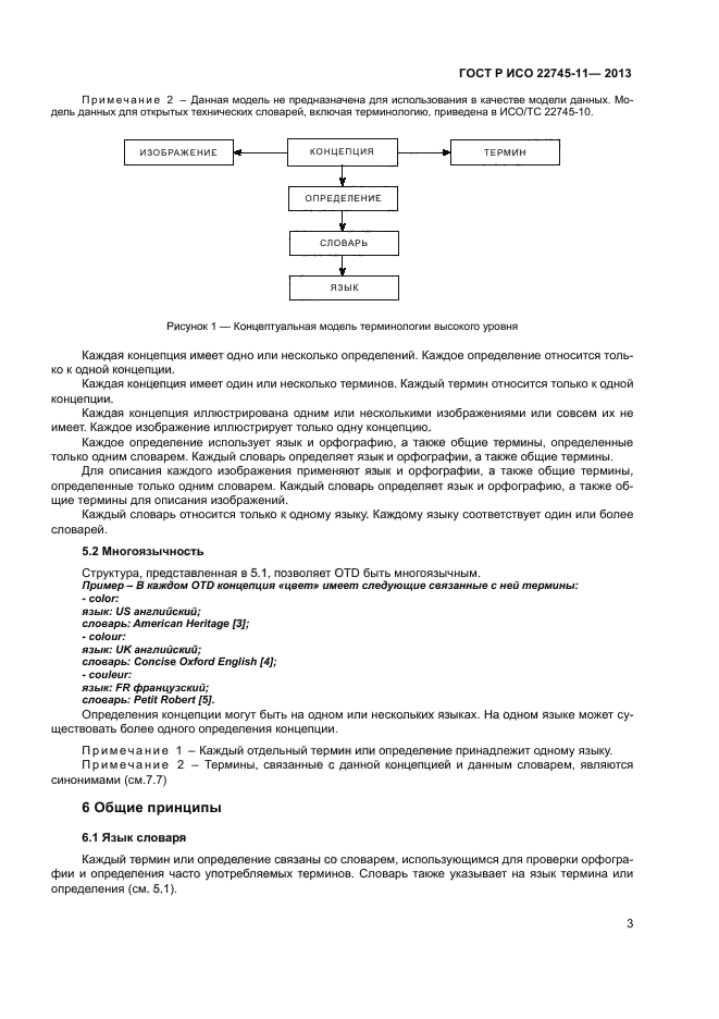
| Область применения: | Настоящий стандарт включает в себя руководящие принципы по разработке терминов и определений концепций открытого технического словаря (OTD). В настоящем стандарте применена терминология, стандартизованная в процессе разработки и обслуживания OTD. Данная терминология не соответствует терминологии, полученной от координирующих организаций, поскольку они стандартизировали терминологию до ее включения в OТD. Настоящий стандарт распространяется на: - общие принципы; - руководящие принципы формулирования терминов на английском языке; - руководящие принципы формулирования определений на английском языке; - класс; - свойство; - особенность; - способ представления; - единицу измерений; - спецификатор измерения; - значение свойства; - применимость; - тип данных. Настоящий стандарт не распространяется на: - идентификаторы концепций, терминов, определений и изображений; - процедуры ведения и обслуживания OTD |
| Список изменений: | №0 от 30.09.2018 (рег. 04.04.2018) «Текстовое изменение; Изменено заглавие» |
|
| Расположен в: |
|