| Обозначение: |  ГОСТ Р ИСО 15745-2-2010 |
| Статус: | действующий |
| Название рус.: | Системы промышленной автоматизации и интеграция. Прикладная интеграционная среда открытых систем. Часть 2. Эталонное описание систем управления на основе стандарта ИСО 11898 |
| Название англ.: | Industrial automation systems and integration. Open systems application integration framework. Part 2. Reference description for ISO 11898-based control system |
| Дата актуализации текста: | 06.04.2015 |
| Дата актуализации описания: | 01.07.2023 |
| Дата издания: | 21.11.2013 |
| Дата введения: | 01.09.2011 |
| Аутентичен стандартам: | ISO 15745-2:2003 |
| Нормативные ссылки: | ISO 639-1:2002;ISO 639-2:1998;ISO 3166-1:1997;ISO/IEC 10646-1:2000;ISO 11898:1993;ISO 15745-1:2003;IEC 61158;IEC 61784-1(2003);IEC 62026-3:2000;EN 50325-4:2002;IEEE Std 754-1985 (R1990);REC-xml-20001006;REC-xmlschema-1-20010502;REC-xmlschema-20010502;RFC 1738:1994;RFC 1759:1995;UML V1.4 OMG |
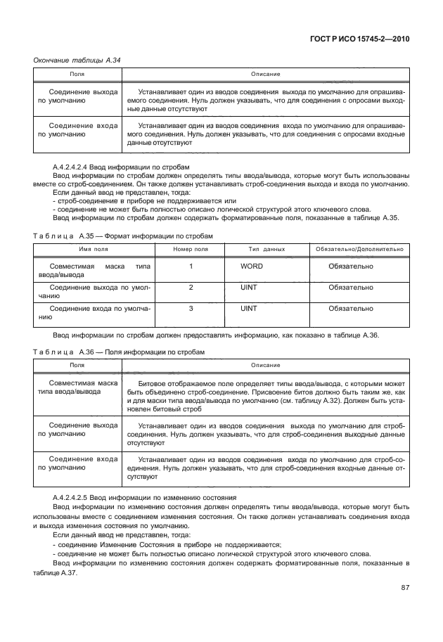
| Область применения: | Настоящий стандарт устанавливает специальные технологические элементы и правила описания как профилей коммуникационных сетей, так и коммуникационных аспектов профилей устройств (приборов), относящихся к системам управления на основе ИСО 11898. Настоящий стандарт следует использовать вместе с ИСО 15745-1 |
|
| Расположен в: |
|