| Обозначение: |    ГОСТ ISO 16140-2011 | 
| Статус: | действующий | 
| Название рус.: | Микробиология продуктов питания и кормов для животных. Протокол валидации альтернативных методов | 
| Название англ.: | Microbiology of food and animal feeding stuffs. Protocol for the validation of alternative methods | 
| Дата актуализации текста: | 06.04.2015 | 
| Дата актуализации описания: | 01.07.2023 | 
| Дата регистрации: | 29.11.2011 | 
| Дата издания: | 17.12.2013 | 
| Дата введения: | 01.01.2013 | 
| Аутентичен стандартам: | ISO 16140:2003 | 
| Нормативные ссылки: | ISO 3534-1;ISO 5725;ISO/TS 11133-1 | 
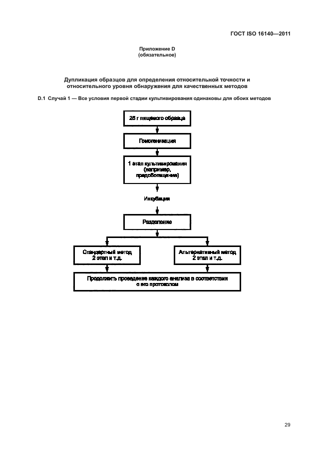
| Область применения: | Настоящий стандарт устанавливает основной принцип и технический протокол валидации альтернативных методов в сфере микробиологического анализа пищевых продуктов, кормов для животных, образцов окружающей среды и ветеринарных образцов для: - валидации альтернативных методов, которые можно использовать, в частности, в рамках официального контроля; - международного признания результатов, полученных альтернативным методом | 
 | 
| Расположен в: | 
  |